1. 수준측량의 개요
(1) 수준측량의 용어
- 기준면: 지반고의 기준이 되는 면을 말하며 이 면의 모든 높이는 ‘0’이다. 일반적으로 기준면은 평균해수면을 사용하고 나라마다 독립된 기준면을 가진다.
- 수준원점(Bench mark, B.M): 기준면(가상의 면)으로부터 정확한 높이를 측정하여 정해놓은 점으로 우리나라는 인천 인하대학교 교정에 있으며 그 높이는 26.6871m이다.
- 수준면(level surface): 기준 수준면에서부터 높이를 정확히 구하여 놓은 점으로 수준측량의 기준이 되는 점이며 우리나라에서는 국도 및 주요 도로를 따라 2~4km 마다 수준표석을 설치하여 놓았다.
- 연직선: 지표면의 어느 점으로부터 지구 중심에 이르는 선을 말한다.
- 수준선: 각 점들이 중력방향에 직각으로 이루어진 곡면으로 지오이드면, 회전타원체면 등으로 가정하지만 소규모 범위의 측량에서는 평면으로 가정해도 무방하다.
- 수평면: 연직선에 직교하는 곡면으로 시준거리의 범위에서는 수준면과 일치한다.
- 지평면: 어떤 한 점에서 수평면에 접하는 평면

(2) 수준측량시의 용어
- 측점(Station, S): 표척을 세워서 시준하는 점으로 수준측량에서는 다른 측량방법과 달리 기계를 임의점에 세우고 측점에 세우지 않는다.
- 후시(Back sight, B.S): 기지점에 세운 표척의 눈금을 읽는 것
- 전시(Fore sight, F.S): 표고를 구하려는 점에 세운 표척의 눈금을 읽는 것
- 기계고(Instrument height, I.H): 기계를 수평으로 설치했을 때 기준면으로부터 망원경의 시준선까지의 길이
- 지반고(Ground height, G.H.): 기준면에서 그 측점까지의 연직거리
- 이기점(Turning point, T.P.): 전후의 측량을 연결하기 위하여 전시와 후시를 함께 취하는 점으로 다른 점에 영향을 주므로 정확하게 관측하야 한다.
- 중간점(Intermediate point, I.P.): 전시만 관측하는 점으로 다른 측점에 영향을 주지 않는 점이다.
- 고저차: 두 점간의 표고의 차

(3) 수준측량의 분류
- 기본측량의 분류
- 1등 수준측량: 공공측량이나 그 밖의 측량에 기준이 되며 1등 수준점간의 거리는 평균 4km이다.
- 2등 수준측량: 공공측량이나 그 밖의 측량에 기준이 되며 2등 수준점간의 거리는 2km이다.
2. 레벨의 종류와 구조
(1) 레벨의 종류
- 자동레벨(Compensator Level): 보정기(Compensator)가 부착되어 사용하기 쉽고 신속하게 측정할 수 있어 가장 많이 사용된다.(학교에서 사용하는 것)
(2) 레벨의 구조
- 망원경

- 기포관
- 기포관의 구비조건(예민해야 함)
- 곡률 반지름이 클 것
- 액체의 점성 및 표면장력이 작을 것
- 관의 곡률이 일정하고, 관의 내면이 매끈할 것
- 기포의 길이는 될 수 있는 한 길어야 할 것
- 감도의 측정(예민함의 정도, 작을 수록 예민)

- 호도법을 이용한 감도의 측정

3. 수준측량 방법
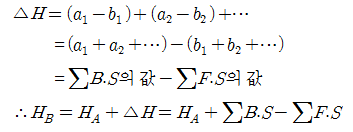
(1) 직접 수준측량의 원리


(2) 직접 수준측량의 시준거리
- 아주 높은 정확도의 수준측량: 40m
- 보통 정확도의 수준측량: 50~60m
- 그 외의 수준측량: 5~120m
(3) 직접 수준측량시 주의사항
- 왕복측량을 원칙
- 전시와 후시의 거리는 비슷하게 할 것
- 후시로 시작해서 전시로 끝남
- 표척을 전후로 움직여 최소값을 읽는다.
- 이기점(T.P)은 1mm, 중간점(I.P)은 5~10mm 단위로 읽는다.
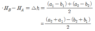
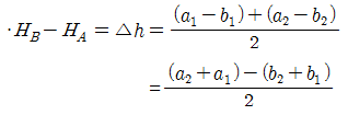
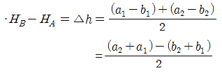
(4) 교호수준측량
: 수준측량은 전·후시를 등거리로 취해야 여러 오차들을 줄일 수 있는데 측선중에 계곡, 하천등이 있으면 측선의 중앙에 레벨을 세우지 못하므로 정밀도를 높이기 위해 양측점에서 측량하여 2점의 표고차를 2회 산출하여 평균하는 방법이다.


728x90
'토목기사 > 측량학' 카테고리의 다른 글
| [측량학] 제 5장. 각/트랜싯 측량(각 측정법/트랜싯의 조정(설치 요령)) #1 (0) | 2019.07.07 |
|---|---|
| [측량학] 제 4장. 수준측량(간접 수준측량과 종횡단 수준측량/수준측량에 관한 일반사항(조정법,오차론)/오차와 정밀도) #2 (0) | 2019.07.07 |
| [측량학] 제 3장. 평면측량(평면을 이용한 응용측량/평면측량의 오차) #2 (0) | 2019.07.05 |
| [측량학] 제 3장. 평면측량(평면측량의 방법/3점 문제) #1 (0) | 2019.07.05 |
| [측량학] 제 2장. GPS측량 및 거리측량(거리 측정값의 보정/오차와 정밀도)#2 (0) | 2019.07.05 |
댓글