3. 평판을 이용한 응용측량
(1) 앨리데이드의 양 시준판의 최소 눈금은 양시준판 간격의 1/100이다.
(2) 간접 수준 측량(그림을 이해)
728x90
4. 평판측량의 오차
(1) 기계적인 오차
- 외심오차(e1): 앨리데이드의 잣눈과 시준선이 일치하지 않아 생기는 일종의 편심오차
- 앨리데이드의 시준오차(e2)
- 자침오차(e3)
(2) 평판을 세울때의 오차
- 도판의 경사에 따른 오차(e4, 정준오차)
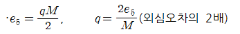
- 구심의 허용오차(e5): 지상의 점과 도면상의 점의 편심거리의 허용량
(3)측량방법에 따른 오차
- 방사법에 의한 오차: 방사법은 각 측점들을 개별적으로 시준하므로 시준 오차(m1)와 거리 오차 및 축적에 의한 오차(m2)의 합으로 표시한다.
- 전진법에 의한 오차
- 교회법에 의한 오차
(4)폐합오차의 조정
728x90
'토목기사 > 측량학' 카테고리의 다른 글
[측량학] 제 4장. 수준측량(간접 수준측량과 종횡단 수준측량/수준측량에 관한 일반사항(조정법,오차론)/오차와 정밀도) #2 (0) | 2019.07.07 |
---|---|
[측량학] 제 4장. 수준측량(개요/레벨의 종류와 구조/수준측량 방법) #1 (0) | 2019.07.07 |
[측량학] 제 3장. 평면측량(평면측량의 방법/3점 문제) #1 (0) | 2019.07.05 |
[측량학] 제 2장. GPS측량 및 거리측량(거리 측정값의 보정/오차와 정밀도)#2 (0) | 2019.07.05 |
[측량학] 제 2장. GPS측량 및 거리측량(GPS 개요/GPS 측량방법 및 오차) #1 (0) | 2019.07.05 |
댓글