2. 복철근(압축철근) 직사각형 보
(1)개요: 보의 인장측 뿐만 아니라 압축측에도 철근을 배치한 직사각형 보를 말한다. 단면의 크기가 제한을 받아 단철근 보로서는 휨모멘트를 견딜 수 없는 경우이거나, 정(+)과 부(-)의 모멘트를 교대로 받는 부재, 또한 부재의 처짐을 극소화시켜야 할 경우에 사용한다.
※복철근을 사용하는 이유
㉠현장의 예기치 못한 상황으로 인장구역에 철근을 더 추가해야 하는 상황이 오면 rho_use가 증가하여 취성파괴가 일어난다. 그래서 bd를 늘리는 방법을 생각해냈는데, 자중이 증가하므로 처짐이 많이 생기므로 이 증가분의 콘크리트를 대신해서 복철근을 넣는다.
㉡같은 상황이면 중립축이 내려오게 되는데, 연성파괴를 일으키기 힘들다. 그래서 압축측에 철근을 배근
※복철근의 장점
: 연성파괴 유도, 장기처짐 감소, 철근조립 용이
※복철근의 단점
: 경제적이지 않다. 장점이 크게 좋아지지 않는다.


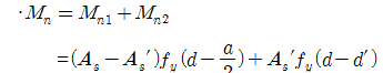
(2)압축철근이 항복할 경우의 휨강도
1)응력사각형의 깊이(a)

2)공칭휨강도

3)설계휨강도

(3)최대철근비

(여기서, rho'(=A'_s/bd 압축철근비)
3. T형 단면보
(1)개요: 교량이나 건물에서는 보와 슬래브가 일체가 되도록 만드는 경우가 대부분이다. 이런 경우 정(+)의 휨모멘트를 받는다면 슬래브도 보의 상부와 함께 압축을 받으며 하나의 보로 거동할 것이다.
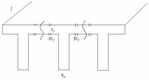
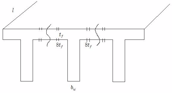
(2)플랜지의 유효폭
1)T형보(대칭 T형보)

·16tf + bw(양쪽으로 각각 내민 플랜지 두께의 8배씩 + bw)
·양쪽 슬래브의 중심간 거리
·보의 경간의 1/4
※다음 중에서 가장 작은 값을 유효폭으로 한다.
·작은 값을 잡아야 실제론 더 커서 안전하다.
※b_w는 복부폭이다.
2)반T형보(비대칭 T형보)

·6tf + bw (한쪽으로 내민 플랜지 두께의 6배 + bw)
·인접보와의 내측거리의 1/2 + bw
·보의 경간의 1/12 + bw
※다음 중에서 가장 작은 값을 유효폭으로 한다.
(3)T형 보의 판정
:아래 그림 (a)와 같이 정(+)모멘트가 작용할 때 등가응력사각형이 플랜지 내에 있으면 직사각형 보로 보고 해석하며, 그림 (b)와 같이 등가응력사각형이 복부에까지 작용할 때에만 T형 보로 해석한다.

1)정(+)모멘트 작용할 때
※a는 단철근에서의 공식을 이용한다.
①등가 응력 사각형이 플랜지 내에 있을 때
·a<=tf: 폭이 b인 직사각형 단면으로 설계(그림a)
②등가 응력 사각형이 복부에 작용할 때
·a>tf: T형단면으로 설계(그림b)
2)부(-)모멘트 작용할 때
·폭이 bw인 직사각형으로 해석(그림c)
(4)T형 보의 해석(t_f>a)

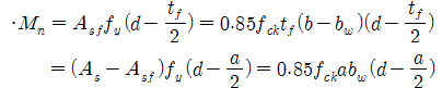
1)T형 보는 플랜지의 내민 부분관 복부 부분으로 나누어 계산한다.
2)플랜지의 내민 부분에 해당하는 압축력과의 균형을 이루는 인장철근의 단면적(Asf)은 Cf=Tf로부터 다음과 같이 구해진다.

3)복부 부분에 작용하는 등가응력사각형의 깊이 a는 Cw=Tw인 것을 이용하여 구한다.

※단철근의 a보다 큰 값이 나온다.
4)공칭 휨강도(M_n)

5)설계 휨강도(M_d)

'토목기사 > 철큰콘크리트 및 강구조' 카테고리의 다른 글
| [철근콘크리트와 강구조] 제 4장. 전단과 비틀림(전단응력과 전단철근의 종류/전단철근의 설계(강도설계법)) (0) | 2019.08.05 |
|---|---|
| [철근콘크리트와 강구조] 제 3장. 보의 휨설계(사용성 및 내구성)#3 (0) | 2019.07.28 |
| [철근콘크리트와 강구조] 제 3장. 보의 휨설계(단철근 직사각형 보)#1 (0) | 2019.07.20 |
| [철근콘크리트와 강구조] 제 2장. 강도설계법의 기본개념과 환산 단면적(강도설계법)#1 (0) | 2019.07.20 |
| [철근콘크리트와 강구조] 제 1장. 철근콘크리트의 기본개념(콘크리트의 성질/철근의 종류 및 성질)#2 (0) | 2019.07.20 |
댓글