1. 전단응력과 전단철근의 종류
(1)사인장응력: 주인장응력이 보의 축과 45도 경사로 작용하기 때문에 사인장응력이라고 하며, 전단응력 v와 같기 때문에 전단응력이라고도 한다. 그리고 지점 부근에서 사인장균열을 일으키는 원인이 된다. 특히, 보의 경우 지점 가까이의 중립축 부근에서 휨응력은 작고 전단응력은 크게 발생되어 사인장균열이 발생되며, 이런 균열을 복부전단균열이라고 한다.

※지점부분에는 전단균일이 중앙부는 휨균열이 많이 발생
(2)전단철근의 종류
1)전단철근의 형태
①부재축에 직각인 스터럽
②부재축에 직각으로 배치한 용접철망
③나선철근, 원형 띠철근, 또는 후프철근
2)철근콘크리트 부재의 경우
①주인장철근에 45도 이상의 각도로 설치되는 스터럽(경사스터럽)
②주인장철근에 30도 이상의 각도로 구부린 굽힘철근
③스터럽과 굽힘철근의 조합
※수직트터럽과 경사스터럽은 같이 사용하지 못한다.

2. 전단철근의 설계(강도설계법)
(1)전단경간(Shear span)의 영향

:전단철근이 없는 보의 경우 a/d의 크기에 따라 보의 전단에 대한 거동을 구분지어 볼 수 있으며, 여기서, d는 보의 유효깊이이고, a는 전단경간 또는 전단지간이라고 한다.
1)a/d<=1인 경우의 보를 깊이가 큰 보라고 하며 보의 강도가 전단력에 의해 지배된다.
2)1<a/d<=2.5 정도로 깊이가 큰 보의 경우도 전단강도가 사인장균열강도보다 크기 때문에 전단파괴를 나타낸다.
3)2.5<a/d<=6인 경우는 일반적인 보에 해당되며, 전단강도가 사인장균열강도와 같아서 사인장파괴를 나타낸다.
4)6<a/d인 경우와 같이 지간이 긴 보의 파괴는 전단보다는 주로 휨강도에 의해 지배된다.
(2)전단설계의 원칙(절차)

(3)계수전단력의 계산
:철근콘크리트 부재의 경우, 받침부 내면과 위험단면(받침부 내면에서 d거리) 사이에 집중하중이 작용하지 않을 때는 받침부 내면에서 d거리 이내에 위치한 단면은 d거리에서 구한 전단력 Vu의 값으로 설계할 수 있다.
(4)콘크리트에 의한 전단강도
:철근콘크리트 부재에서 전단과 휨만을 받는 부재일 경우, 전단철근 없이 콘크리트가 부담할 수 있는 전단강도(Vc)는 다음 식으로 구할 수 있다.
1)근사식

(5)전단철근에 의한 전단강도
:전단철근이 배근되어 있는 철근콘크리트 보에서 전단철근이 부담할 수 있는 전단강도 Vs는 다음 식으로 구할 수 있다.
1)부재축에 직각인 전단철근

(Av: 전단철근의 단면적, d: 보의 유효깊이, s: 수직스터럽의 간격, fyt: 전단철근의 항복강도)
2)경사스터럽이 전단철근으로 사용되는 경우

3)종방향 철근을 구부려 전단철근으로 사용할 때는 그 경사길이의 중앙 3/4만이 굽힘철근으로서 유효하다고 보아야 한다.
4)전단강도 Vs는

이하로 하여야 한다.
(6)전단철근의 상세
1)전단철근의 설계기준항복강도는 500MPa을 초과하여 취할 수 없다.(단, 용접철망은 600MPa 이하)
2)전단철근의 간격제한
①부재축에 직각으로 설치되는 스터럽의 간격은 철근콘크리트 부재의 경우
·0.5d 이하, 600mm 이하(단, PSC에서는 0.75h 이하, 600mm 이하
②경사스터럽과 굽힘철근은 부재의 중간 높이 0.5d에서 반력점 방향으로 주인장철근까지 연장된 45방향의 선과 한 번 이상이 교차되도록 배치해야 한다.
③단,

일 경우에는 위의 ①,②에서 규정된 최대간격을 1/2로 감소시켜야 한다.
(7)최소전단철근량

일 경우; 다음과 같은 최소전단철근량 Av를 배근하여야 한다.

·여기서, bw와 s의 단위는 mm이다.
·Vu<=파이*Vc인 경우 이론상으로는 전단철근이 필요없으나, 안전을 위해 Vu>1/2파이*Vc인 경우에 대해서 최소량의 전단철근을 배치하도록 콘크리트구조기준에서 규정하고 있다.
※최소 전단철근을 배치하지 않아도 되는 경우(얇고 긴 부재)
①슬래브나 확대기초의 경우
②콘크리트 장선구조
③전체깊이가 250mm 이하이거나, I형 보, T형 보에 있어서 그 높이가 플랜지 두께의 205배 또는 복부폭이 1/2중 근 값 이하인 보
(8)깊은 보(Deep Beam)에 대한 전단설계

1)깊은 보의 정의: 한쪽 면이 하중을 받고 반대쪽 면이 지지되어 하중과 받침부 사이에 압축대가 형성되는 구조요소로 다음의 ①, ②에 해당되는 부재이다.
①순경간 ln이 부재깊이 h의 4배 이하인 경우
②받침부 내면에서 부재깊이의 2배 이하인 위치에 집중하중이 작용하는 경우는 집중하중과 받침부 사이의 구간

(9)비틀림 설계(틀리라고 나오는 문제들...)
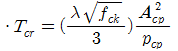
1)균열 비틀림모멘트


2)비틀림을 고려하지 않아도 되는 경우

'토목기사 > 철큰콘크리트 및 강구조' 카테고리의 다른 글
| [철근콘크리트와 강구조] 제 9장. 프리스트레스트 콘크리트(PSC)(PSC의 기본개념 및 분류/휨 부재의 해석)#2 (0) | 2019.08.11 |
|---|---|
| [철근콘크리트와 강구조] 제 9장. 프리스트레스트 콘크리트(PSC)(서론 및 재료의 성질/프리스트레싱 방법 및 공법)#1 (0) | 2019.08.10 |
| [철근콘크리트와 강구조] 제 3장. 보의 휨설계(사용성 및 내구성)#3 (0) | 2019.07.28 |
| [철근콘크리트와 강구조] 제 3장. 보의 휨설계(복철근 직사각형 보/T형 단면보)#2 (0) | 2019.07.28 |
| [철근콘크리트와 강구조] 제 3장. 보의 휨설계(단철근 직사각형 보)#1 (0) | 2019.07.20 |
댓글