제3장. 보의 휨 설계
1. 단철근 직사각형 보
(1)개요: 보의 인장구역에만 철근이 배치된 직사각형보를 단철근 직사각형보라한다.
(2)단철근 직사각형 보의 해석

※철근은 많이 늘어날수록 좋다.(인명피해 최소화)
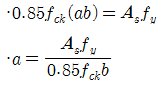
1)등가응력사각형의 깊이(a)

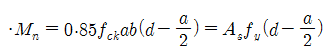
2)공칭휨강도(M_n, 우력)

3)설계휨강도(Md)

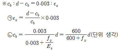
(3)균형보(=균형 변형률 상태): 인장철근이 항복강도 f_y에 상응하는 변형률(e_y)에 도달함과 동시에 압축측 콘크리트가 극한변형률 0.003에 도달하는 상태를 말한다.
1)균형보의 중립축의 위치(c_b)
:균형보의 변형률도에서 삼각형의 닮음비를 이용

※a=베타1*c의 c와 같다.
2)단철근 직사각형보의 균형철근비(로우_b)

※프리스트레싱 긴장재를 제외하고는 철근의 설계기준항복강도는 600MPa을 초과하지 않아야 한다.
(4)최대 철근비

:인장철근이 먼저 항복하는 연성파괴를 보장하기 위해 설계기준에서는 최소 허용변형률 및 해당 철근비를 규정하고 있다.
|
f_y: 철근의 설계기준항복 강도(MPa) |
e_y: 철근의 항복변형률 |
휨부재 허용값 |
|
|
최소 허용변형률 |
최대철근비 |
||
|
300 |
0.0015 |
0.004 |
0.643로우_b |
|
350 |
0.00175 |
0.004 |
0.679로우_b |
|
400 |
0.002 |
0.004 |
0.714로우_b |
|
500 |
0.0025 |
0.005 |
0.688로우_b |
|
600 |
0.003 |
0.006 |
0.667로우_b |

※rho_max 공식은 2. 복철근에서 소개
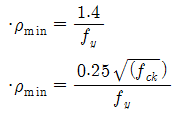
(5)최소철근비
: 보에 인장철근량이 너무 적어도 취성파괴를 일으킨다. 즉, 인장측 콘크리트에 균열이 생기는 순간 철근도 같이 끊어져서 갑작스럽게 파괴된다. 이러한 취성파괴를 피하기 위하여 휨부재의 모든 단면에 대하여 최소 철근비(rho_min)는 다음 식 중 큰 값 이상으로 하여야 한다.

(6)인장철근비와 균형철근비의 관계
1)과소철근보
·인장 철근이 먼저 파괴
·과소철근이므로 중립축이 압축측으로 이동(중립축 상승)
·인장철근의 연성파괴 발생
2)과다철근보
·압축측 콘크리트가 먼저 파괴
·과다철근이므로 중립축이 인장측으로 이동(중립축 하강)
3)균형보
·인장 철근과 압축측 콘크리트가 동시에 파괴
·보의 설계방향을 제시한다.
'토목기사 > 철큰콘크리트 및 강구조' 카테고리의 다른 글
| [철근콘크리트와 강구조] 제 3장. 보의 휨설계(사용성 및 내구성)#3 (0) | 2019.07.28 |
|---|---|
| [철근콘크리트와 강구조] 제 3장. 보의 휨설계(복철근 직사각형 보/T형 단면보)#2 (0) | 2019.07.28 |
| [철근콘크리트와 강구조] 제 2장. 강도설계법의 기본개념과 환산 단면적(강도설계법)#1 (0) | 2019.07.20 |
| [철근콘크리트와 강구조] 제 1장. 철근콘크리트의 기본개념(콘크리트의 성질/철근의 종류 및 성질)#2 (0) | 2019.07.20 |
| [철근콘크리트와 강구조] 제 1장. 철근콘크리트의 기본개념(철근콘크리트의 성립/콘크리트의 강도(실기))#1 (0) | 2019.07.20 |
댓글