1. 철근콘크리트의 성립
(1)철근콘크리트의 정의
:콘크리트는 압축에 강하지만 인장에는 매우 약하다. 따라서 그림과 같이 보의 인장측에 철근을 넣어서 콘크리트는 압축력을, 철근은 인장력을 받도록 만드는 일체식 구조(합성체)를 콘크리트(Reinforced concrete, RC)라 한다.
(2)철근콘크리트의 성립 이유
·철근과 콘크리트 사이의 부착강도가 크다.
·철근과 콘크리트의 열팽창 계수는 거의 같다.
·콘크리트 속의 철근은 부식되지 않는다.
·철근은 인장에 강하고, 콘크리트는 압축에 강하다.
(3)철근콘크리트의 장점
·구조물의 형상과 치수에 제약을 받지 않고 자유로이 만들 수 있다.
·복잡한 여러 조각의 구조물을 하나로 만들 수 있다.
·구조물을 경제적으로 만들 수 있다.
·내구성이 좋다.
·내화성(耐火性)이 좋다.
·진동이 적고 소음이 적다.
·유지 관리비가 저렴하다.
(4)철근콘크리트의 단점
·중량이 비교적 크다.
·균열이 발생하기 쉽다.
·부분적인 파손이 일어나기 쉽다. (아랫부분)
·검사하기가 어렵다.
·개조, 보강, 해체가 어렵다.
·시공 기간이 길다. (습식)
·인장에 약하다.
2. 콘크리트의 강도(실기)
(1)설계기준강도와 배합강도
1)설계기준압축강도(f_ck): 콘크리트 부재를 설계할 때 기준으로 하는 재령 28일 압축강도를 말한다.
2)배합강도(f_cr): 콘크리트의 배합을 정할 때 목표로 하는 재령 28일 압축강도이다. 배합강도는 다음 식으로 계산된 두 값 중에서 큰 값으로 한다.


※여기서, s는 압축강도의 표준편차인데, 표준편차 s는 실제상황과 비슷한 재료와 품질관리 절차 및 조건하에서 적어도 30회의 연속시험을 실시하여 얻어진 것이어야 하고, 또 계획된 공사에서 요구하는 설계기준강도와 같거나 혹은 설계기준강도에서 그 차이가 7MPa 이내의 강도를 갖는 콘크리트에 의해 구해진 값이어야 한다.
※시험 횟수가 15회 미만인 경우
|
f_ck[MPa] |
fcr_[MPa] |
|
21미만 |
f_ck+7.0 |
|
21이상 35이하 |
f_ck+8.5 |
|
35초과 |
1.1f_ck+5.0 |

※이 그림의 경우 f_ck가 21인 경우에 한함, f_cu를 결정하는 정확한 방법은 #2 3. (2) 1) 참고
※여기서, f_cu는 평균압축강도
(2)굵은 골재의 최대치수(G_max)
1)철근콘크리트
·거푸집 양측면 사이 거리의 1/5이하
·슬래브의 두께의 1/3이하
·최소 순간격의 3/4배 이하

(3)콘크리트의 실험 강도
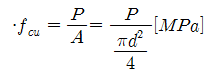
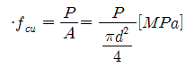
1)압축강도(f_cu, f_ck가 될 수도) 시험: 시험용으로 만든 콘크리트를 공시체라고 한다. 우리나라에서 압축 강도용 공시체는 파이150*300mm인 원주형 공시체를 기준으로 사용하며, 파이100*200mm의 공시체를 사용할 경우에는 강도 보정계수 0.97을 사용한다.

(여기서, P: 파괴 시 하중(N), A: 공시체의 단면적(mm^2))
2)인장강도(f_sp) 시험: 인장에 대하여 주어진 재료가 저항할 수 있는 강도이며, 쪼갬 인장강도 시험에 의한 인장강도의 계산식은 다음과 같고 압축강도의 약 1/10정도이다.

(여기서, P: 파괴 시 하중(N), d: 원주형 공시체의 직경(mm), l: 원주형 공시체의 길이(mm))
※실험하지 않는 경우

3)휨 인장 강도(=f_r, 실험하지 않는 경우)
㉠보통중량 콘크리트

㉡경량 콘크리트

(여기서, gamma: 경량콘크리트계수)
|
구분 |
경량콘크리트 (gamma) |
||
|
보통(일반) 콘크리트 |
1.0 |
||
|
경량콘크리트 |
f_sp가 주어진 경우 |
f_sp/(0.56root(fck))≤1.0 |
|
|
f_sp가 없는 경우 |
전경량 콘크리트 |
0.75 |
|
|
모래 경량 콘크리트 |
0.85 |
||
'토목기사 > 철큰콘크리트 및 강구조' 카테고리의 다른 글
| [철근콘크리트와 강구조] 제 3장. 보의 휨설계(사용성 및 내구성)#3 (0) | 2019.07.28 |
|---|---|
| [철근콘크리트와 강구조] 제 3장. 보의 휨설계(복철근 직사각형 보/T형 단면보)#2 (0) | 2019.07.28 |
| [철근콘크리트와 강구조] 제 3장. 보의 휨설계(단철근 직사각형 보)#1 (0) | 2019.07.20 |
| [철근콘크리트와 강구조] 제 2장. 강도설계법의 기본개념과 환산 단면적(강도설계법)#1 (0) | 2019.07.20 |
| [철근콘크리트와 강구조] 제 1장. 철근콘크리트의 기본개념(콘크리트의 성질/철근의 종류 및 성질)#2 (0) | 2019.07.20 |
댓글