1. 직선으로 둘러싸인 면적계산
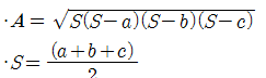
▼ 헤론의 공식: 삼각형의 넓이를 세 변의 길이로부터 구하는 공식으로 고대 그리스의 수학자 헤론이 처음 제창했다고 전한다.
(1) 삼변법(헤론의 공식)
(2) 사다리꼴
(3) 좌표에 의한 방법(합위거, 합경거법)
(4)축척과 면적의 관계
728x90
2. 곡선으로 둘러싸인 면적계산
(1) 지거법
- 사다리꼴 공식
- 심프슨(Simpson)의 제1법칙(3, 4, 2): 그림에서 사다리꼴 2개씩을 한 조로하고 이 부분의 경계선을 2차포물선으로 가정하고 면적을 계산한다.
※등고선을 계산할 때 사용한다.
- 심프슨의 제2법칙(8, 3, 3, 2)
728x90
'토목기사 > 측량학' 카테고리의 다른 글
[측량학] 제 9장. 노선측량(개요 및 단곡선 공식/곡선설치법) #1 (2) | 2019.07.12 |
---|---|
[측량학] 제 8장. 면적 및 체적측량(체적계산법) #2 (1) | 2019.07.10 |
[측량학] 제 7장. GSIS 및 지형측량(등고선의 종류와 성질/등고선의 측정 및 오차) #2 (0) | 2019.07.09 |
[측량학] 제 7장. GSIS 및 지형측량(GISI 및 지형측량/GSIS의 자료해석/지형측량의 개요) #1 (0) | 2019.07.09 |
[측량학] 제 6장. 기준점 측량(삼각측량의 개요/방법/응용)#3 (0) | 2019.07.08 |
댓글