3. 체적계산법
(1) 단면법
: 철도, 수로, 도로 등 선상의 물체를 축조하고자 할 경우 중심 말뚝과 중심 말뚝 사이의 횡단 면사이의 절토량 또는 성토량을 계산할 경우에 이용되는 방법
▼심프슨법칙: 기준선과 불규칙한 경계선으로 둘러싸인 면적을 구하는 법칙.
- 각주공식: 심프슨의 제1법칙을 적용
(2) 점고법
: 이 방법은 건물부지의 정지, 택지조성공사, 토취장 및 토사장의 용량관측, 항만과 같이 넓은 면적의 토공용적을 산정하기에 적합한 방법이다.
- 직사각형 공식
- 삼각형 공식
728x90
4. 면적과 체적측정의 정확도 및 토지분할법
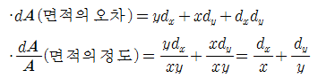
(1) 면적 측정의 정확도
(2) 면적의 분할
- 삼각형의 분할
728x90
'토목기사 > 측량학' 카테고리의 다른 글
[측량학] 제 9장. 노선측량(완화곡선의 개요/클로소이드 곡선/종단곡선)#2 (0) | 2019.07.13 |
---|---|
[측량학] 제 9장. 노선측량(개요 및 단곡선 공식/곡선설치법) #1 (2) | 2019.07.12 |
[측량학] 제 8장. 면적 및 체적측량(직선으로 둘러싸인 면적계산) #1 (0) | 2019.07.10 |
[측량학] 제 7장. GSIS 및 지형측량(등고선의 종류와 성질/등고선의 측정 및 오차) #2 (0) | 2019.07.09 |
[측량학] 제 7장. GSIS 및 지형측량(GISI 및 지형측량/GSIS의 자료해석/지형측량의 개요) #1 (0) | 2019.07.09 |
댓글