토목기사/지반공학

[지반공학]제 3장 토질공(흙의 전단강도/사면의 안정) #4

카리R 2021. 2. 25.

 이번 포스팅에서는 흙의 전단강도와 사면의 안정에 대한 이야기를 해보려고합니다.

 흙의 전단강도는 기본공식을 암기하면 어려움이 없겠지만, 응력경로에서의 공식이 등장합니다. 암기법을 적었으니 도움이 되었으면 좋겠습니다. 또한 사면의 안정 너무 중요합니다. 먼저 시험에 나오지 않지만, 무한사면에서의 흙의 무게와 수직응력, 전단응력을 구하는 방법을 익히면 나머지 응용되는 부분들을 이해하는데 도움이 됩니다.

 제 3장 토질공에 대한 포스팅은 4개의 파트로 나누어 올릴 예정인데요. 그중에서 네 번째인 이번 포스팅에서는 사면의 안정이 대단히 중요하겠습니다. 무한사면에서의 공식들을 기본으로 하여 다양한 상황에서 어떻게 공식이 변화되는지 익히는 것이 중요합니다. 과년도에서 직접적으로 출제됩니다. 소문제로 나누어 출제될만큼 중요하며 배점 또한 큽니다.

 제 1장~6장까지는 계산문제가 많이 출제되고 있는데, 7장부터는 암기위주의 내용이 나오니 조금만 더 화이팅합시다.

흙의 전단강도

 1. 흙의 전단강도

  : 흙의 전단강도는 흙 입자 사이에 작용하는 점착력과 내부마찰력으로 이루어진다.

  (1)보통 흙의 전단강도

   여기서, tau: 전단강도(kg/cm^2), c: 점착력(kg/cm^2), sigma: 수직응력(kg/cm^2), phi: 내부마찰각(º)

  • A선: 전단파괴가 일어나기 전의 상태이다.
  • B선: 전단파괴가 일어난 상태이다.
  • C선: 전단파괴가 이미 발생하였기 때문에 이러한 경우는 이론상 존재 할 수 없다.

 

 2. 응력경로(Stress path)

  : 흙이 파괴에 이를 때까지 응력을 받는 상태로 연속해서 표시한 경로를 응력경로라 한다.

  (1)K_f선과 Mohr-Coulomb선의 기하학적 관계

   : p-q Diagram에서 K_f선의 절편과 경사각을 재면 흙의 점착력(c)과 내부마찰각(phi)을 계산할 수 있다.

  ①내부마찰각

  ②점착력

 암기법: 담배파이프(phi) 사러 신(sin)탄(tan)진 앞에(alpha) 가(c)고(cos)파(phi)

 

 3. 액상화 현상(Liquefaction)

  : 간극수압의 상승으로 인하여 유효응력이 감소되고 그 결과 사질토가 외력에 대한 전단저항을 잃게 되는 현상을 액상화 현상이라고 한다.

 

사면의 안정

 1. 사면안정대책공법

  (1)안전율을 증가시키는 방법

  • 억지말뚝공법: 사면의 활동 토괴를 관통하여 부동지반까지 말뚝을 일렬로 설치, 사면의 활동하중을 말뚝의 수평저항으로 부동지반에 전달시키는 공법이다.
  • 앵커공법: 고강도 강재를 앵커재로 하여 보링공 내에 삽입하여 그라우트 주입을 실시하여 앵커재를 지반에 정착시켜 앵커체 두부에 작용한 하중을 정착지반에 전달하여 안정시키는 공법이다.
  • 옹벽공법: 주로 자연사면 선단부에 도로를축조하거나 주택단지를 조성할 경우 사용된다.
  • 압성토 공법: 산사태가 우려되는 자연사면의 하단부에 토사를 성토하여 활동력을 감소시키는 공법이다.
  • 소일 네일링(Soil nailing) 공법: 비탈면에 강철봉을 타입 또는 천공 후 삽입시켜 전단력과 인장력에 저항할 수 있도록 하는 시공법이다.

  (2)원형활동면에 의한 사면파괴의 종류

  • 사면 내 파괴(Slope failure): 사면 선단파괴의 일부로서 성토층이 여러 층일때 나타난다.
  • 사면 선단파괴(Toe failure): 사면이 급하고 점착성이 적은 흙의 사면에 나타난다.
  • 사면 저부파괴(Base failure): 사면구배가 비교적 완만하고 연약한 점성토지반에 나타난다.

 

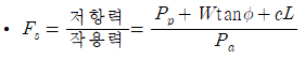
 2. 무한사면의 안정해석

 사면에 작용하는 힘은 중력방향으로 작용하는 흙의 무게 W뿐입니다. 사면을 해석하려면 이 W를 지면경사(i)에 따라 기울어진 지면에 수직한 힘(N)과 수평한 힘(T)로 분해해야합니다. 여기서 N은 흙의 안정성을 높이는데 기여하고, T는 흙의 안정성을 낮추는데 기여한다는 것을 생각할 수 있는데 이것은 무한사면의 안전율을 계산하는데 필요합니다.

  (1)무한사면의 활동

절편의 중량(W)
수직력(N)
수평력(T)
수직응력(sigma)
전단응력(tau)

  (2)안전율

    ①침투수가 없는 무한사면(c≠0)

    ②지하수위가 지표면과 일치된 경우(c≠0인 일반적인 흙)

 gamma_sat이 분모에 가는지 gamma_ssub가 분자에 가는지 헷갈린다. 필자는 이렇게 외웠다. 지하수위가 지표면과 일치한다면 분명 사면에 부정적인 영향을 미칠것이다. 그러면 저항력은 낮아질것이고, 작용력은 높아져서 사면이 파괴될 가능성이 높아질 것이다. 그래서 상대적으로 큰 gamma_sat이 분모에 가면서 F_s가 낮아진다.

    ③지하수위가 지표면과 일치된 경우(c=0인 사질토의 경우)

    ④침투수가 없고 사질토인 경우(c=0)

 

 3. 유한사면의 안정해석

  (1)phi=0의 사면안정 해석

   : Skempton에 의하여 발표된 것으로서 완전히 포화된 점토가 비배수 상태, 즉 구조물의 시공 직후의 상태라고 보고 전응력법으로 해석하는 phi=0인 균질한 점성토의 사면에 적용 가능하다.

 phi=0 해석법이란, 질량법을 의미한다. 필기공부할때 중요한 내용이 있었는데, 까먹었을 수 있다. 사면을 해석하기 위해서 2가지 방법이 있는데, 질량법과 절편법이 있고, 지금 사용하는 질량법의 경우 흙이 균질할 경우 사용 가능하다. 자세한 내용은 아래 링크를 참고하자.

2019/10/07 - [토목기사-산업기사/토질 및 기초] - [토질 및 기초] 제 7장. 사면의 안정(사면/유한사면의 안정/(반)무한사면의 안정)#1

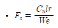
   여기서, c_u: 비배수강도, r: 호의 반경, l: 호의 길이, W: 사면의 중량, e: W의 중심거리

 암기법: 우리는(We) 클라라(Clr), 가수 클라라 생각!!
 안전율 공식에서 분자와 분모 모두 모멘트의 단위이다. 하지만, 분자를 본다면 모멘트의 단위가 아니다. 왜그러냐면 점착력에 사면의 폭 1m가 곱해진것이 생략되었기 때문이다.
 원점(O)을 기준으로 W와 c_u에 해당하는 거리를 각각 곱해서 모멘트를 구하여 대입한다. 안전율을 구하는 문제에서 오래전에 출제된 적은 있지만, 최근 10년이내에 출제된 적은 없다. 출제가 된다면 밑에 균열이 있을때의 안전율을 구하라는 문제가 출제된다.

  (2)인장균열의 영향

 만약에 나온다면 인장균열을 고려한 것이 출제된다.

 인장균열깊이의 경우 필기 공부할 때 유도하고 암기까지 했던 아주 중요한 내용인데, 한번더 복습할 필요가 있다. 아래 링크를 남길테니 참고하길 바랍니다.

2019/10/06 - [토목기사-산업기사/토질 및 기초] - [토질 및 기초] 제 6장. (횡방향) 토압(토압의 이론/Rankine의 토압이론/점성토의 토압과 Coulomb의 토압론)#1

   여기서, c_u: 비배수강도, r: 호의 반경, l: 호의 길이, W: 사면의 중량, e: W의 중심거리, P_w: 수압, x: h+(2/3)z_c, z_c: 인장균열깊이

 

 4. 평면파괴면을 가진 유한사면의 해석(Culmann의 해석법)

  ①ABC의 중량(W)

 공학을 배우다보면 삼각함수를 이용하여 구하구 싶은 것들을 구하는 것들이 나온다. 지금 충분히 익혀놓는다면 도움이 될 것이다. 처음엔 'tan(theta)=밑변/높이'를 써서 삼각함수와 밑변을 치환해보자. 점점 빨라 질 것입니다.

  ②선분 AC면의 법선과 접선 성분(전단저항력)

 전단응력공식에 점착력 c는 왜 선분의 길이가 곱해질까? 이번 안전율을 구할땐 분자, 분모에 힘의 단위가 들어가는데 폭 1m가 곱해진것이 생략된것이라고 할수 있겠다. 점착력에서 항상 이런 현상이 일어나는데 헤깔리지 말자.

  ③안전율

 종종 나오는 문제이다. 귀찮게 생겼는데, 그림 몇 번그려보고 이해를 한다면 좋을 것 같다.

 

 5. 평면활동면의 조합

  : 3개의 평면활동면으로 표현한 상단의 활동면 AB상의 토압은 주동토압, 하단의 활동면 위에 토압은 수동토압으로 생각한다.

 토압에 대한 내용이 나오는데 이 내용은 토질 및 기초 토압부분에서 자세히 다뤘으니, 궁금하다면 아래의 링크를 확인하자.

2019/10/06 - [토목기사-산업기사/토질 및 기초] - [토질 및 기초] 제 6장. (횡방향) 토압(토압의 이론/Rankine의 토압이론/점성토의 토압과 Coulomb의 토압론)#1

728x90

댓글

💲 추천 글