토목기사/토질 및 기초

[토질 및 기초] 제 7장. 사면의 안정(사면/유한사면의 안정/(반)무한사면의 안정)#1

카리R 2019. 10. 7.

1. 사면

  (1)사면의 종류

   1)유한사면(Finite slope)

    : 암반층 위의 토층의 깊이가 사면의 길이에 비해 큰 사면, 제방, 댐의 사면 등이 있다.

    ①직립사면: 점토지반을 연직으로 굴착한 사면으로 흙막이 굴착 등이 여기에 속한다.

    ②단순사면(Simple slope): 토목기사에서 많이 다룸, 사면의 정부와 선단이 평면을 이루고 있는 사면이다.

   2)무한사면(Infinite slope)

    ③암반층 위의 토층의 깊이에 비해 사면의 길이가 긴 사면으로 산의 사면 등이 있다.

 

  (2)단순사면의 파괴형태

   1)사면내파괴(Slope failure)

   2)사면선단파괴(Toe failure)

   3)사면저부파괴(Base failure)

    ※파괴의 형태는 심도계수(N_d)와 사면각도(beta)에 따라 달라진다.

 

 2. 유한사면의 안정

  (1)직립사면의 안전해석

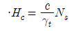
   1)한계고(H_c)의 위치

    (여기서, q_u: 일축압축강도, H_c: 한계고, Z_0: 인장균열깊이)

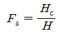
   2)안전율(F_s)

    ·인장균열을 고려 할 때,

    ·인장균열을 고려하지 않을 때,

    (여기서, H: 사면의 높이)

 

  (2)단순사면의 안정해석

   1)심도계수(Depth function, N_d)

    (여기서, H: 사면의 높이, H': 사면의 상부에서 견고한 지반까지의 깊이)

   2)한계고(H_c)

    (여기서, N_s: 안정계수(=1/안정수))

   3)단순사면의 파괴형태

    ①사면의 경사각(beta)>53DEG이면, 심도계수(N_d)와 관계없이 사면선단파괴가 발생한다.

    ②사면의 경사각(beta)<53DEG이면, 심도계수(N_d)에 따라 파괴형식이 달라진다.

 

 3. (반)무한사면의 안정

  : 활동하는 깊이에 비해 사면의 길이가 길어 파괴면은 사면에 평행하게 형성된다. 이 때 양끝의 영향은 무시한다.

  (1)지하수위가 파괴면 아래에 있는 경우(침투류x)

   1)절편의 중량(W)

.

   2)수직력(N)

   3)전단력(T) 

   4)수직응력(sigma, 암기)

   5)전단응력(tau, 암기)

   6)안전율

    ①일반적인 흙

     ※저항력의 경우 제 5장 전단강도의 식을 쓴다.

    ②모래지반

     : 모래지반의 경우에는 점착력(c)이 0이므로

      즉, 사면의 안전율은 사면의 높이와 관계가 없으며, 또한 내부마찰각(phi)이 사면의 경사각(beta)보다 크면 안정하다.

 

  (2)지하수위가 지표면과 일치하는 경우

   1)안전율(F_s) 일반적인 흙

    ①일반적인 흙

    ※(1)의 경우보다 안전율은 낮아진다고 생각하자.

  ②모래지반

     : 모래지반의 경우에는 점착력(c)이 0이므로

 

 4. 사면안정 해석법

  (1)해석 방법

   1)질량법(=일체법, Mass procedure)

    ①개요: 활동을 일으키는 파괴면 위의 흙을 하나로 취급하는 방법으로 흙이 균질한 경우에 적용 가능한 방법이나 자연사면의 경우 거의 적용 할 수 없다.

    ②해석방법

     ㉠phi=0DEG⟶비배수, 점성토에 대해서

     ㉡마찰원법⟶점착력(c), 내부마찰각(phi)에 대해서

   2)절편법(=분할법, Slice method, 비균질)

    ①개요: 활동을 일으키는 파괴면 위의 흙을 여러 개의 절편으로 나눈 후 각각의 절편에 대해 안정해석을 하는 방법이다.

    ②적용 대상

     ㉠이질토층에 적용할 수 있다.

     ㉡지하수위가 있는 경우에 적용할 수 있다.

    ③해석방법

     ㉠Fellenius 방법(Swedish method)

     ㉡Bishop 방법(Bishop simplified method)

     ㉢Janbu의 간편법(Janbu simplified method)

     ㉣Morgenstern과 Price's 방법

     ㉤Spencer 방법

 

  (2)절편법(Slice method, 분할법)

   1)개요: 먼저 임의의 활동면을 가정하여, 활동면의 흙을 여러 개의 절편으로 나누어 각 절편에 작용하는 힘을 구하여 절편에 대한 안전율을 결정하는 방법이다.

   2)종류

Fellenius 방법(Swedish method)

Bishop 방법(Bishop simplified method)

·사면의 단기적 안정해석에 유효하다.

·phi=0 해석법이다.

·절편에 작용하는 외력들의 합이 0이다.(합E=0, 합X=0)

·공극수압을 고려하지 않는다.

·전응력 해석이다.

·사면의 장기적 안정해석에 유효하다.

·c-phi 해석법이다.

·절편에 작용하는 연직방향의 힘의 합력 은 0이다.(합X=0)

·공극수압을 고려한다.

·유효응력 해석이다.

   ※비숍방법은 마법사 연상: 오래 키워야 하고, 많은 것을 해석, 연직방향 번개 마법, 보다 많은 것 고려(공극수압), 유효한 것 고려하여 높은 딜

728x90

댓글

💲 추천 글