이번 포스팅에서는 흙의 압축성에 대한 이야기를 해보려고합니다.
흙의 압축성은 토질 및 기초에서 흙의 기본적 성질과 비슷하게 기본적이지만, 아주아주 중요한 공식들이 있습니다. 암기법을 적어놓았으니 도움이 되었으면 좋겠습니다.
제 3장 토질공에 대한 포스팅은 3개의 파트로 나누어 올릴 예정인데요. 그중에서 세 번째인 이번 포스팅에서는 압밀, 압밀이론, 압밀시험, 압밀시간 및 압밀침하량으로 나누어 지는데 압밀이론에서 압밀도와 압밀시간 및 압밀 침하량을 중심으로 많은 문제가 출제되므로 충분히 준비하야합니다. 과년도에서 여러항목으로 나누어 출제도 될만큼 배점도 높습니다.
제 1장~6장까지는 계산문제가 많이 출제되고 있는데 7장부터는 암기위주의 내용이 나오니 조금만 더 화이팅합시다.
흙의 압축성
1. 압밀시험결과
(1)e-logP곡선
①압축지수: 무차원으로 압밀침하량을 산정하기 위해 구한다.
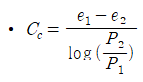
②Terzaghi & peck의 경험식
·불교란 시료 | ![]() |
·교란 시료 | ![]() |
여기서, W_L은 액성한계(%)
불교란 시료, 즉 자연상태의 시료의 공식이 자주 출제되어 C_c를 구하고, 1차 압밀침하량(최종침하량)을 구하는 연계형 문제가 자주 출제된다. |
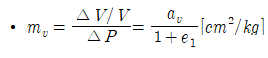
(2)압축계수(Coefficient of compressibility)
: 압밀하중의 증가에 대한 간극비의 감소율로 나타낸다.
압축계수의 경우 체적변화계수를 구할때 사용되며 체적변화계수는 1차 입밀침하량(최종침하량)을 계산할 때 주로 사용된다. |
(3)과압밀비(OCR)
: 흙이 현재 받고 있는 유효연직하중에 대한 선행압밀하중과의 비이다.
- OCR<1: 압밀이 진행 중인 점토
- OCR=1: 정규압밀점토
- OCR>1: 과압밀점토
단독출제된 경우는 없는 걸로 안다. 다른 토질 개념을 이해하는데 도움이 된다. |
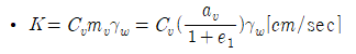
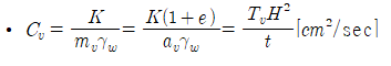
(4)압밀계수(Coefficient of consolidation)
: 지반의 압밀침하속도를 알기 위해 시료의 압밀 속도를 측정하여 압밀계수를 구한다.
여기서, K: 투수계수[무차원], m_v: 체적변화계수[cm^2/kg], gamma_w: 물의 단위중량[kg/cm^3], e: 간극비
이항을 해서 시간 t에 대한 함수로 만든다음 각 인자를 계산하고 마지막으로 시간을 구하는 문제가 자주 출제된다. 압밀도가 50%, 90%일때의 시간계수는 암기를 해야하고, 나머지 다른 압밀도가 나오면 시간계수는 주어진다. |
![]() |
![]() |
![]() |
![]() |
여기서, T_50: 압밀도 50%에 대한 시간계수, T_90: 압밀도 90%에 대한 시간계수, t_50: 압밀도 50%에 도달하는데 시간, t_90: 압밀도 90%에 도달하는데 걸리는 시간, H: 배수거리
암기법: 로그 t 방법은 로오그 t 방법으로 암기하여 50%, 루트 t방법은 구트 t방법으로 암기하여 90%이다. 또한 로오그 t방법의 시간계수는 '5공(50)화국때 영문이나 알구쳐(197)!!!'로 암기하고, 구트 t방법의 시간계수는 '구공(90)탄 파는 영팔(08)이는 사팔(48)이다.'로 암기한다. |
(5)체적변화계수(Coefficient of volume compressibilty)
(6)투수계수(Coefficient of permeability)
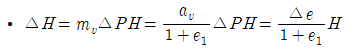
2. 압밀침하량(1차 압밀 최종 침하량)
(1)정규압밀점토의 침하량
압밀침하량에 대한 문제는 정말 많이 나오기도 하고, 배점이 높은 편이다. 문제 난이도도 꽤 있는편인데 외울건 외우고 과년도 반복 풀이하자. 압밀침하량을 사용하는 문제가 나온다면 아래 설명하는 2가지 유형의 공식을 사용하여 구하는 경우로 나눌 수 있다. |
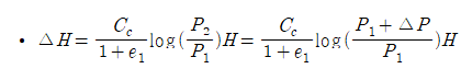
①유형 1
먼저 1번 유형의 공식을 사용하는 문제이다. 공식에 있는 각 인자들이 무엇을 의미하고 어떻게 구해야 하는지 알아보자. C_c는 압밀지수로서 불교란 시료로 가정하면, 어렵지 않게 계산가능하다. e_1은 점토지반의 간극비로서 그림에 주어지든 설명형으로 문제속에서 알려준다. 다음으로 P_1과 P_2인데, 이걸구하는 것이 관건이고, 실수도 많이 하는것 같다. 먼저, P_1은 유효상재하중이라고 한다. 각층의 단위중량을 먼저 구하고, 구해진 단위중량을 해당 층의 높이로 곱한다음 모두 더 해주면 된다. 이때 유의해야할 것이 점토층이 일면배수냐 이면배수냐에 따라서 점토층의 높이를 2로 나누어야 할지 아니면 그냥 사용하면 되는지 결정된다. 판단할수 없다면 이면배수이다. P_2는 여러가지 유형으로 문제에 출제되는데 가장 어려운 2개의 방법을 소개하겠다. 외부에서 하중이 주어지는 경우이거나 지하수위가 변화하는 유형이다. 먼저 외부에서 하중이 가해졌다면 △P에 외부하중을 넣어서 계산하면 되고, 지하수위가 달라졌다면 설명한 P_1을 구하는 방식을 써서 새롭게 P_2를 구하면 된다. |
②유형 2
두 번째 유형은 유형 1에 비해 출제율이 낮으나, 출제되므로 각 인자가 무엇이고 어떻게 계산하는지에 대해 자세히 알아봐야 한다. 개인적으로 유형 2번이 더 어렵다. 유형 2번은 압밀도의 개념이 더 추가되기 때문이다. m_v는 주어지거나 a_v를 이용해서 구하면된다. △P는 문제에서 유효상재하중으로 표현되며, 유형 1의 P_1과 같다. 그럼 P_1으로 쓰면 되지 않으냐는 질문을 할 수 있는데, 엄밀히 말하자면 유형 2번의 공식으로 유형 1번을 유도할때 하중변화의 개념이 들어가야 하기때문에 바꿀 수 없다. 마지막을 H는 유형 1번과 같이 일면배수인지 이면배수인지 판단을 잘해야 한다. |
(2)압밀도(Degree of consolodation)
: 압밀의 정도를 압밀백분율로 나태낸 것을 압밀도라 한다.
여기서, △H_t: t시간 이후의 압밀침하량, △H: 최종침하량((1)에서 주구장창 구한 것을 이용한다. 유형 2번이 사용된다.), △H_a: 허용압밀침하량(문제에서 주어진다.) |
여기서, u_i는 (초기의, 하중을 가한순간의)과잉간극수압으로서 외부하중 또는 상재하중이 주어진다면 그것을 고대로 쓰면 된다. u_t는 t 시간 이후의 간극수압이라고 할 수 있다. |
압밀도 문제는 u=gamma_w*h 공식을 많이 활용하게 되는데, gamma_w의 경우 단위가 N(뉴턴)이 나오면 9.8kN/m^3이고, kg단위가 나오면 1*g/cm^3을 대입한다. 주어진 값들을 잘 대입하고, 미지수 하나를 잘 찾는다면 문제를 쉽게 풀 수 있다. |
3. 침하량 산정
(1)침하의 종류
- 즉시침하(Immediate settlement): 탄성침하라고도 하며, 외부하중이 지반에 작용하자마자 즉시 발생되는 침하로 모든 흙에서 발생하며, 함수비의 변화 없이 탄성변형으로 생긴 침하라고 하여 탄성침하라고도 한다.
- 압밀침하(Consolidation settlement): 1차 압밀침하라고도 하며, 흙 속에 있는 간극수가 천천히 빠지면서 발생되는 침하이므로 침하량은 시간에 의존한다.
- 2차 압밀침하(Secondary compression settlement): 크리프 침하라고도 하며, 과잉간극수압이 소멸된 후에도 장기간에 걸쳐 발생되는 침하이다.
(2)침하량 산정식
①정규압밀침하량: 최종압밀침하량
H_1 부분 | ![]() |
H_2 부분 | ![]() |
H_3 부분 | ![]() |
초기 유효연직압력 | ![]() |
압축지수 | ![]() |
점토층의 압밀침하량 | ![]() |
(3)t시간 후의 압밀침하량
여기서, △H_t: t시간후의 압밀침하량, U: 압밀도, △H: 최종침하량
'토목기사 > 지반공학' 카테고리의 다른 글
[지반공학]제 4장 얕은기초(기초공) #1 (0) | 2021.02.26 |
---|---|
[지반공학]제 3장 토질공(흙의 전단강도/사면의 안정) #4 (3) | 2021.02.25 |
[지반공학]제 3장 토질공(흙의 다짐/지반내의 응력) #2 (0) | 2021.02.23 |
[지반공학]제 3장 토질공(흙의 기본적 성질/흙의 투수성) #1 (0) | 2021.02.22 |
[지반공학]제 2장 연약지반(지하수위 저하공법/토목섬유)#3 (0) | 2021.02.19 |
댓글