이번 포스팅에서는 직접기초(얕은기초)에 대한 이야기를 해보려고합니다.
얕은기초는 뿌리 내림이 얕아, 작용하중에 대해 지반이 주로 저항하며 측면지반의 지반 반력에 의한 저항을 고려하지 않은 기초로 테르자기(terzaghi)의 지지력 이론을 적용할 수 있도록 하는 기초를 말합니다.
제 4장 얕은기초에 대한 포스팅은 2개의 파트로 나누어 올릴 예정인데요. 그중에서 두 번째인 이번 포스팅이 핵심중에 핵심입니다. Terzaghi, Meyer의 지지력 공식을 꼭 암기하시기 바랍니다. 그것들을 기본으로 하여 지하수위를 고려하며 편심을 고려하는 것은 응용문제입니다. 과년도에서 직접적으로 묻는 문제가 자주 출제됩니다.
제 1장~ 제 6장까지는 계산문제가 많이 출제되고 있는데, 7장부터는 암기위주의 내용이 나오니 조금만 더 화이팅합시다.
직접기초(얕은기초)
1. 직접기초의 터파기 시공법
: 직접기초의 굴착은 자연상태, 지하수위, 지하매설물과 기초주변의 상황을 충분히 조사하여 경제적이고 안전한 굴착공법을 선정해야 한다.
- 개착공법(Open cut method): 양호한토질이며 부지에 여유가 있고, 또 흙막이가 필요한 때에는 나무 널말뚝, 강널말뚝 등을 사용하는 경우에 가장 적당한 공법 - 흙막이 공이 필요없다.
- 아일랜드공법(Island method): 직접 기초굴착 시 저면중앙부에 섬과 같이 기초부를 먼저 구축하여 이것을 발판으로 주면부를 시공하는 방법 - 연약한 지반에 적합
- 트랜치컷공법(Trench cut method): 먼저 주변부를 굴착,시공하는 것으로 중앙부의 토질이 연약할 때 주변부를 먼저 시공해 두면 흙의 붕괴를 막고 안전하게 시공할 수 있는 공법 - 아일랜드공법과 반대
- 역권공법: 구조물의 기초를 그대로 지보공으로 이용하는 공법으로 흙막이용 지보공을 가설물로 사용하지 않고 지하구조물의 기둥, 벽 등에 이용하는 방법
- 역타공법: 굴착공사와 병행하여 지하 영구구조물 자체를 지표면에서 가까운 부분부터 역순으로 시공하여 강성이 큰 지하층의 Slab와 Beam을 흙막이 지보공으로 이용하면서 지상층과의 작업을 병행할 수 있는 흙막이 지보공법이다.
종류를 쓰라고 하는 문제가 출제된 적있습니다. 암기법은 따로 없고 설명을 보면서 연상하며 외우는게 최선인 것 같습니다.
■역타공법의 장점
- 바닥 슬래브 자체가 버팀이 되어 영구적이다.
- 지하 주벽을 먼저 시공하므로 지하수 차단이 쉽다.
- 지하층 슬래브를 치기 위한 거푸집이 필요하지 않다.
- 지하와 지상층을 동시에 시공하므로 공기가 단축된다.
- 강성이 높은 흙막이가 되어 동바리공이 필요하지 않다.
■역타공법의 단점
- 소형의 고성능 장비가 필요하다.
- 설계변경이 곤란하다.
- 정밀한 시공계획수립이 필요하다.
- 환기, 전기 설비가 필요하다.
- 공사비가 상승한다.
▲지보공이란: 건설공사를 진행하는 도중에 어느 시기에 어느 물건을 지탱하기 위해 설치되는 구조물의 것을 지보공이라 한다.
출제된적 없지만 얕은기초에 대한 기본지식을 전반적으로 쌓는다는 개념으로 공부하시면 되겠습니다. 시간이 없다면 넘어가도 됩니다.
2. 직접(얕은) 기초의 지지력
: 지반의 극한지지력은 전단파괴에 대한 지반의 최대하중 지지능력을 말하며, 토질의 점착력과 내부마찰각, 기초의 크기와 형상, 그리고 기초의 근잎깊이 등의 요인에 다라 크기가 결정된다.
(1)극한지지력 산정법
①Terzaghi의 극한지지력 공식
여기서, alpha, beta: 기초의 형상계수, c: 점착력, N_c, N_r, N_q: 지지력계수(phi(내부마찰각)에 의해 결정됨), gamma_1: 근입심 부위의 흙의 단위중량, gamma_2: 기초밑면의 흙의 단위중량, B: 기초의 폭, D_f: 기초의 근입깊이
▲Terzaghi의 수정공식에서 형상계수
구분 | 연속 | 정사각형 | 원형 | 직사각형 |
![]() |
1.0 | 1.3 | 1.3 | ![]() |
![]() |
0.5 | 0.4 | 0.3 | ![]() |
여기서, B: 장방형의 단변길이, L: 장방형의 장변길이
지반의 파괴형태에 따라 점착력(c)을 변경해줘야 한다. 아무말 없으면 전반전단파괴이고 주어진 점착력(c)를 그대로 사용하면 되고, 문제의 조건에 국부전단파괴가 일어나는 지반의 경우 c에 2/3을 곱한 점착력을 사용해야 한다. 가끔 계산을 다 해놓고, 문제를 대충읽어서 실수하는 경우가 있는데 어렵게 계산한 문제 이런것 때문에 틀리면 엄청 배가 아프니 문제를 꼼꼼히 읽자. |
②Meyerhof의 극한지지력
여기서, N: 표준관입시험치, B: 푸팅의 폭, D_f: 기초의 근입깊이
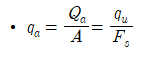
(2)허용지지력
여기서, Q_a: 총허용하중, A: 기초의 크기, q_u: 극한지지력, F_s: 안전율(3)
설계를 할때 기초가 버틸수 있는 하중보다는 안전율을 고려하여 이 기초가 좀 더 약한 기초라고 가정을 하고 설계한다면 더 안전할 것이다. 그래서 극한하중 보다는 안전율을 고려한 더 작은 허용하중을 구하는 것이다. |
3. 편심하중을 받는 기초
▼편심하중을 받는 기초에 대한 문제는 극한하중과 안전율을 물어본다. 풀이 방법을 암기하자.
내가 본 모든 책에서 이 부분을 필요이상으로 어렵게 설명하는 것 같다. 이론적으론 그게 맞겠지만, 이해하는데도 도움이 안되고, 우린 그냥 문제만 맞추면 되니깐 그냥 아래 설명한대로 풀이 순서를 외워버리자. 그럼 한 문제 맞춘다. |
Step1)편심거리(e) 구하기
: e=M/Q로 구한다.
Step2)극한지지력(q_u) 구하기
: Terzaghi의 극한지지력 공식을 그대로 활용한다. 달라진것은 유효폭(B')을 반영하는 것이다. 쉽다. 그림처럼 B'=B-2e이다. 또한, 문제에는 구형기초로 소개되는데 직사각형으로 생각하자하는 것이 더 쉽더라. 유효폭을 적용하면 정사각형이 된다. 그럼 정사각형에 대한 형상계수 alpha는 1.3 beta는 0.4를 적용한다.
Step3)극한하중(Q_u) 구하기
: 위에서 구해진 q_u에 유효폭이 적용된 면적을 곱한다.
Step4)안전율(F_s) 구하기
: 위에서 구해진 극한하중을 문제에서 주어진 작용하중으로 나눈다.
편심을 받는 기초의 극한지지력과 안전율을 구하는 문제가 가끔 출제되는데 중심에 작용하는 하중문제에서 응용한 문제에 속한다. 정석적인 문제도 힘든데 응용이 들어가면 거부반응을 일으키는데 사실 기초에서 가장 귀찮은 문제는 지하수위가 변할때의 극한지지력을 구하는 문제이다. 편심이 발생했을 경우엔 지하수위를 고려하는 문제가 없다. 고로 쉬운 문제이니 믿고 몇문제 풀어보자. 지하수위에 따른 극한지지력을 구하는 문제보다 훨씬 쉽다. |
(1)기초의 탄성침하(Parkash 방법)
아주아주아주아주 한번씩 나오는 문제이다. 5년에 한번정도??? 이 공식을 암기하는데 다른 공식이 헷깔린다면 과감히 버리자. |
4. 지하수위의 영향
제가 구매한 책에서는 너무 쉬운 개념을 너무 헷깔리게 설명해 놓았어요. 너무 쉬운 개념인데 말이죠. 공식을 암기하는건 좋은데 너무 공식화 해놓은 느낌을 받았습니다. 제 방식대로 하면 공식 외울 필요 없습니다. 따라오세요. 지하수위의 위치에 따라 단위중량이 변화하고, 단위중량을 구하는 것이 핵심입니다. 크게 기초아래 부분을 gamma_1, 기초바닥 윗 부분을 gamma_2로 생각하는 것이 기본이다. |
(1)지하수위가 기초의 근입깊이 D_f 사이에 있을 때(경우 1)
(2)지하수위가 기초의 근입깊이 D_f 이하에 있을 때(경우 2)
(3)지하수위가 기초 밑으로 폭(B)만큼 더 아래에 있을경우(경우 3) - 지하수위가 기초에 영향을 주지 못할때
: 지지력 공식에 영향이 없다.
5. 복합푸팅기초
: 두 개 이상의 기둥을 하나의 푸팅으로 받치는 기초구조를 복합푸팅기초라한다.
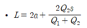
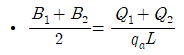
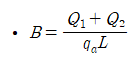
(1)장방형 복합푸팅
여기서, s: 기둥 중심간 거리, q_a: 지반의 허용지지력
만약 장방형 복합푸팅에 대한 문제가 나온다면 L과 B를 구하는 문제이다. 이 문제의 경우 2가지 풀이 방식이 있다. 공식을 외우는 방법과 평형방정식을 쓰는 방법이 있습니다. 글쓴이는 공식을 외우는 방법이 실수도 덜하고 빨리 풀수 있어 좋은 방법이라고 생각합니다. 공식이 어렵지도 않구요. |
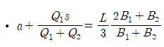
(2)사다리꼴 복합푸팅
①하중중심이 푸팅의 도심과 일치
가끔 출제 됩니다. 암기암기 ~!! 위의 장방형 복합푸팅기초의 공식과 유사한 면이 있으니, 관련지어 암기하면 조금 수월합니다. 사리다리꼴의 도심을 구할때 항상 작은변의 곱하기 2입니다. B_1과 B_2에 대한 식이 2개가 나오는데 연립방정식을 풀면 되겠습니다. 카시오 계산기를 쓴다면 연립방정식 모드로 변경하면 쉽게 결과가 나옵니다. |
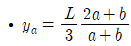
※사다리꼴의 도심공식
사디리꼴에 대한 공식을 자꾸 까먹습니다. 앞에 L/3은 까먹지 않으나 .... 뒤에 항이 기억이 안나죠. 이 기회의 확실히 해야겠습니다. 작은 변에 곱하기 2입니다. |
6. 전면기초(Mat foundation)
: 전면기초는 여러 개의 기둥과 벽을 지지하는 구조물 아래의 전면적을 차지하는 복합기초이다.
(1)보상기초
: 기초의 근입깊이 D_f를 증가시켜 흙에 작용하는 순압력을 감소시켜 전면기초의 침하를 줄인다.
①완전보상기초(Fully compensated foundation)
: 전면기초 밑에 있는 흙에 응력이 전혀 생기지 않는 기초(q=0)
②부분보상기초(Partially compensated foundation): (q>0)
'토목기사 > 지반공학' 카테고리의 다른 글
[지반공학]제 5장 깊은기초(현장타설 피어공법/케이슨기초) #2 (0) | 2021.03.05 |
---|---|
[지반공학]제 5장 깊은기초(말뚝기초) #1 (2) | 2021.03.04 |
[지반공학]제 4장 얕은기초(기초공) #1 (0) | 2021.02.26 |
[지반공학]제 3장 토질공(흙의 전단강도/사면의 안정) #4 (3) | 2021.02.25 |
[지반공학]제 3장 토질공(흙의 압축성) #3 (0) | 2021.02.24 |
댓글