이번 포스팅에서는 흙의 기본적 성질과 흙의 투수성에 대한 이야기를 해보려고합니다.
흙의 기본적 성질은 토질 및 기초 과목의 기본이 되는 이론으로 유효응력, 흙의 압축성, 흙의 전단강도, 사면의 안정 등의 문제를 해결하기 위해서는 이해하고 있어야 하는 기본 초석이되는 중요한 내용입니다. 흙의 투수성은 흙의 투수성과 유선망에서 출제빈도가 높으므로 내용을 정리해야 합니다.
제 3장 토질공에 대한 포스팅은 4개의 파트로 나누어 올릴 예정인데요. 그중에서 첫 번째인 이번 포스팅에서는 토질 및 기초 과목의 기본이 되는 공극비, 공극률 등의 기본이 되는 것들을 배울 것입니다. 너무 많아 힘들다면 암기법을 써놨으니 참고하시길바라며 과년도에서 기본적인 내용이라고해서 출제가 안된다고 생각할 수도 있는데, 모래치환법등에서 직접적으로 사용하니 방심하지 말고 공부하길 바랍니다.
제 1장~6장까지는 계산문제가 많이 출제되고 있는데, 7장부터는 암기위주의 내용이 나오니 조금만 더 화이팅합시다.
흙의 기본적 성질
1. 흙의 구성
(1)흙의 상대정수
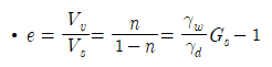
간극비(e) | ![]() |
간극률(n) | ![]() |
포화도(S) | ![]() |
함수비(w) | ![]() |
함수율(w') | ![]() |
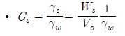
(토랍자의) 비중(G_s) | ![]() |
응용 | ![]() |
토질공에서 핵심적이면서 아주 기본적인 내용입니다. 여러 문제에서 응용으로 많이 사용되니 꼭꼭 다른거 안외워도 꼭 외워야 한다. 또한, 응용공식은 암기법이 있다. 조지 워싱턴은 Soil Engineer이다. 라고 외우면 된다. 무슨 말도 안되는 소리냐 하시겠지만, 다른건 다 까먹어도 이 공식만큼은 절대 까먹지 않고 있다. |
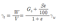
(2)흙의 단위중량
습윤단위중량 | ![]() |
건조단위중량 | ![]() |
포화단위중량 | ![]() |
수중단위중량 | ![]() |
많은 문제에서 단위중량공식이 많이 많이 출제될 만큼 암기가 필수인 부분이다. 암기내용이 많은데 필자의 경우, 위 그림 2개를 백지에 많이 써봤고, 습윤단위중량에서 밑에 3개 공식을 유도하는 느낌으로 공부했다. 건조단위중량은 습윤단위중량의 S에 0을 대입했고, 그 앞식은 건조하니깐 분자에 물이 제외된 W_s를 대입, 마지막 w가 어디에 들어가는지 헤깔려서 습윤 vs 건조 뭐가 더 무거울까 생각해서 1+w를 분모에 대입하는 식으로 암기했다. 포화단위중량은 습윤단위중량에서 S에 100을 대입하여 유도했고, 수중단위중량은 부력의 영향으로 결과값자체가 gamma_t보다 작으니 gamma_t-gamma_w 이 식을 외워 유도했다. |
(3)상대밀도(Relative density)
: 사질토가 느슨한 상태에 있는가 조밀한 상태에 있는가를 나타내는 것을 상대밀도라 한다.
※현장에서 모래지반의 상대밀도 측정은 표준관입시험이 주로 이용된다.
2. 흙의 분류
(1)입도분포의 판정
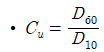
균등계수(C_u) | ![]() |
곡률계수(C_g) | ![]() |
여기서, D_60: 통과 백분율 60%에 대응하는 입경, D_30: 통과 백분율 30%에 대응하는 입경, D_10: 통과 백분율 10%에 대응하는 입경
일반흙 | ![]() |
![]() |
|
자갈 | ![]() |
||
모래 | ![]() |
||
균등계수와 곡률계수의 조건 둘 다 만족해야 입도분포가 양호하다 판단할 수 있음. |
나중에 흙을 분류할때 C_u는 1~10사이의 숫자가 나오는데, 이말은 D_60>D_10이란 말이다. 그래서 D_60이 분자로 간다. 그것도 외우기 힘들다면 60이 더 크니깐 위에 위치한 분자에 오고, 곡률계수는 무차원 숫자이니 D_30이 무조건 제곱이 와야한다. 3^2=9이므로 더 크니 분자로 간다. 암기할게 많으니 이렇게 외우는게 필자한테는 도움이 되었습니다. |
(2)흙의 기호
- G: gravel(자갈)
- S: sand(모래)
- W: well graded(입도배합이 양호)
- P: poor graded(입도배합이 불량)
(3)통일분류법
흙의 종류 | 제1문자 | 흙의 특성 | 제2문자 | |
조립토 | 자갈(Gravel) | G | 입도분포 양호 | W |
모래(Sand) | S | 입도분포 불량 | P | |
세립토 | 실트(Silt) | M | A선 아래에 위치, 소성지수 4이하 | M |
점토(Clay) | C | A선 위에 위치, 소성 지수 7이상 | C | |
유기질의 실트 및 점토(Organic Clay) | O | 압축성 낮음, w_L≤50 | L | |
유기질토 | 이탄(Peat) | Pt | 압축성 높음, w_L≥50 | H |
이 부분은 종종 출제되는데, 척 보기에 많이 귀찮아 보인다. 하지만, 한 두번 풀어보면 정말정말 쉬워서 놓치면 안되는 문제에 속하니 위 표를 참고해서 과년도 문제를 풀어보자. 살짝 팁을 주자면, 보통 문제에서 No.200체 통과율이 50% 미만이 출제되서 첫 번째 문자는 G or S인경우가 허다하다. |
(4)통일분류법에 의한 흙의 분류방법
①1Step: No. 200체 통과율을 구함
- No.200(0.075mm)체 통과율이 50% 미만인 경우 조립토(G, S)
- No.200(0.075mm)체 통과율이 50% 이상인 경우 세립토(M,C,O)
②2Step: 자갈(G)과 모래(S)로 분류
- No.4(4.76mm)체 통과율이 50% 이상이면 모래(S)
- No.4(4.76mm)체 통과율이 50% 이하이면 자갈(G)
③3Step: GW, GP, SW, SP 분리
㉮No.200(0.075mm)체 통과율이 5% 미만
- 균등계수 C_u>4, 1<C_g<3: GW
- GW를 만족하지 못하면: GP
㉯No.200(0.075mm)체 통과율이 5% 미만
- 균등계수 Cu_>6, 1<C_g<3: SW
- SW를 만족하지 못하면: SP
(5)군지수(Group index, GI)
: GI=0.2a+0.005ac+0.1bd
- a=No.200체(0.075mm)통과율-35
- b=No.200체(0.075mm)통과율-15
- c=액성한계(W_L)-40
- d=소성지수(I_P)-10
과년도를 풀면서 군지수 GI값이 무엇인가를 물어보는 문제는 없었고, 군지수에 영향을 주는 인자를 물어보는 문제는 출제된 적이 있다. |
흙의 투수성
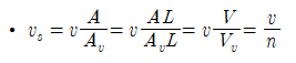
1. Darcy의 법칙
여기서, A: 시료의 전체 단면적, A_v: 공극의 단면적, L: 두 점 간의 거리, v: 평균유속, v_s: 실제유속, n: 간극률(%)
실제 속도가 더 크다. |
2. 투수계수
여기서, D_s: 입경, gamma_w: 물의 단위중량, eta: 물의 점성계수, e: 간극비, C: 형상계수
암기법이 없다. 그냥 외우자. 머리 터지도록... |
3. 실내투수시험
■투수계수 결정방법
투수계수 | 투수계수 범위(cm/sec) | 적용시료 |
정수위 투수시험법 | K>10^-3 | 투수성이 큰 사질토 |
변수위 투수시험법 | K=10^-1~10^-8 | 광범위한 시료 |
압밀시험 | K=10^-7이하 | 투수성이 낮은 불터성 점토 |
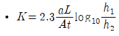
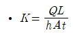
(1)정수위 투수시험
여기서, K: 투수계수(cm/sec), Q: t시간의 투수량(cm^3), L: 시료의 길이(cm), h: 수두차(cm), A: 시료의 단면적(cm^2), t: 투수시간(sec)
암기법이 있다. 분자부터 시작해야 하는데, '퀸 엘리자베스는 하트'로 암기하자. |
(2)변수위투수시험(Variable head permeameter)
여기서, a: 유리관 단면적, L: 시료 길이, A: 시료의 단면적, t: 투수시간
암기법이 있다. 야구 경기를 상상하자. '변수위 투수가 2스트라이크 3볼에서 안타를 알고, h_1에서 h_2로 떨어지는 커브를 던졌다.' 항상 분자부터 시작하게끔 하는 암기법이 좋은데... 워낙 변칙적인 투수니깐?? |
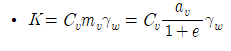
(3)압밀시험(Consolidation test)
여기서, C_v: 압밀계수(cm^2/sec), m_v: 체적변화계수(cm^2/g), a_v: 압축계수(cm^2/g), gamma_w: 물의 단위중량(kN/m^3)
여기서, 압밀계수, 압축계수 등 압밀이론은 이전 토목기사 필기에서 배웠다. 까먹었을수도 있으니 다시 복습하고 싶다면 아래 링크에 접속해보자. 투수계수는 단독으로 출제되기도 하지만, 여러 문제에서 응용으로 사용되니 중요공식 정도는 암기하도록 하자. |
2019/09/25 - [토목기사-산업기사/토질 및 기초] - [토질 및 기초] 제 4장. 흙의 압축성(압밀/압밀이론)#1
'토목기사 > 지반공학' 카테고리의 다른 글
[지반공학]제 3장 토질공(흙의 압축성) #3 (0) | 2021.02.24 |
---|---|
[지반공학]제 3장 토질공(흙의 다짐/지반내의 응력) #2 (0) | 2021.02.23 |
[지반공학]제 2장 연약지반(지하수위 저하공법/토목섬유)#3 (0) | 2021.02.19 |
[지반공학]제 2장 연약지반(점성토지반 개량방법/사질토지반 개량공법/주입 및 고결공법)#2 (0) | 2021.02.18 |
[지반공학]제 2장 연약지반(연약지반/Vertical drain 공법)#1 (0) | 2021.02.17 |
댓글