토목기사/토질 및 기초

[토질 및 기초] 제 2장. 흙의 침투성과 침투(투수계수/비균질 토층의 평균투수계수/유선망(Flow net)/동상)#2

카리R 2019. 9. 22.

 3. 투수계수

  (1)투수계수

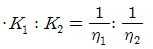
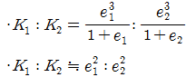
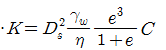
   1)개요: 투수계수는 유속과 같은 차원이다.

    (여기서, Ds: 흙 입자의 입경(보통 D10), gamma_w: 물의 단위중량(g/cm^3), eta: 물의 점성계수(g/cm sec), e: 공극비, C: 합성 형상계수(composite shape factor), K: 투수계수(cm/sec)

    ①온도가 높을수록 물의 점성계수가 감소하여 투수계수는 증가한다.

    ②점토의 구조에 있어서 면모구조가 이산구조(분산구조)보다 투수계수가 크다.

    ③지반의 포화도가 클수록 투수계수가 증가한다.

   2)투수계수에 영향을 미치는 요소

    ①간극비

    ②점성계수

 

  (2)투수계수의 결정

   : 침투수량을 알기 위해서는 투수계수의 값을 알아야 한다. 투수계수 결정법에는 다음과 같은 방법이 있다.

   1)실내투수시험

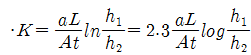
    ①정수위 투수시험(Constant head test)

     -적용범위: K=10^-2~10^-3cm/sec인 투수계수가 큰 모래 지반에 적용한다.

    -시험방법: 수두차를 일정하게 유지하면서 일정시간 동안 유량을 측정하여 투수계수를 얻는 시험이다.

     -투수계수

     (여기서, Q: 침투수량(cm^3), L: 시료의 길이(cm), A: 시료의 단면적(cm^2), h: 수위차(cm), t: 측정시간(sec))

     ※하트 퀸 엘리자베스

   2)변수위 투수시험(Falling head test)

    -적용범위: K=10^-3~10^-6cm/sec인 투수성이 작은 흙에 적용한다.

    -시험방법: 물이 스탠드 파이프를 통하여 시료를 통과해 수위차를 이루는 시간을 측정하여 투수계수를 얻는 시험이다.

    -투수계수

     (여기서, A: 시료의 단면적(cm^2), t: 측정시간(sec, t2-t1), a: 스탠드 파이프의 단면적(cm^2), L: 시료의 길이(cm), h1: t1에서의 수위(cm), h2: t2에서의 수위)

    ※2S 3B에서 변수위 투수는 안타가 나올걸 h1에서 h2로 커브를 던졌다.

   3)압밀시험

    -적용범위: K=10^-7cm/sec 이하의 불투수성 흙에 적용한다.

   -시험방법: 압밀시험에 의한 간접적인 시험법이다.

    -투수계수

    (여기서, Cv: 압밀계수(cm^2/sec), mv: 체적변화계수(cm^2/kg), gamma_w: 물의 단위중량(kg/cm^3), av: 압축계수(cm^2/kg)=>C_v, m_v, a_v는 제 4장에서 자세히 다룬다.)

    ※암기법: 카멜레온

 

 4. 비균질 토층의 평균투수계수

  (1)수평방향 평균투수계수

   1)각 층에서의 동수경사가 같아야 한다.

   2)단위 시간에 단면적을 통하여 흐르는 전유량은 각 층의 유량의 합과 같다.

    ·전체 층의 유량=각 층의 유량의 합

 

  (2)수직방향 평균투수계수

   1)각 층에서의 유출속도가 같아야 한다.

    따라서, 전체층을 흐르는 시간은 각 층을 흐르는 시간의 합과 같다.

   2)또한, 전손실수두는 각 층에서의 손실수두의 합과 같다.

 

  (3)이방성 투수계수

   1)이방성: 흙의 한 위치에서 수평방향과 수직방향의 투수계수가 다를 수 있는데 이것을 투수에 있어서의 이방성(Anisortropic)이라 한다.

   2)등가등방성 투수계수

   3)방향에 따른 투수계수의 크기

    ①수평방향의 투수계수(Kh)가 수직방향의 투수계수(Kz)보다 크다.

    ②수평방향의 투수계수(Kh)가 등가등방성 투수계수(K')보다 크다.

 

 5. 유선망(Flow net)

  (1)기본가정

   1)Darcy 법칙은 정당하다.

   2)흙은 등방성이고 균질하다.

   3)흙은 포화상태이고 모관현상은 무시한다.

   4)흙이나 물은 비압축성이고, 물이 흐르는 동안 압축이나 팽창은 생가지 않는다.

 

  (2)유선망(Flow net)

   1)개요: 제체 및 투수성 지반에서 침투수류의 방향과 등위선을 그림으로 나타낸 것을 말한다.

    ※제체: 제방 또는 댐의 본체.

   2)작도 목적

    :침투수량, 간극수압을 알기 위해 유선망을 작도한다.

 

  (3)용어정리

   1)유선(Flow line): 투수층의 상류부에서 하류부로 물일 흐르는 자취를 말한다.

   2)유로(Flow channel): 인접한 두 유선 사이의 통로를 말한다.

   3)등수두선(Equipotential line): 손실수두가 서로 같은 점을 연결한 선으로서 동일 선상의 모든 점에서 전수두가 같다.

   4)등수두면(Equipotential of area): 인접한 두 등수두선 사이의 공간을 말한다.

 

  (4)특성

   1)각 유로(인접한 두 유선)의 침투유량은 같다.

   2)각 등수두면(인접한 두 등수두선) 간의 손실수두(전수두)는 모두 같다.

   3)유선과 등수두선은 서로 직교한다.

   4)유선망이 되는 사각형은 이론상 정사각형이므로 유선망의 폭과 길이는 같다. 즉 유선망의 각 사각형은 한 원에 접한다.(내접원을 형성한다.)

   5)침투속도 및 동수구배는 유선망 폭에 반비례한다.

  (5)경계조건

   1)불투수층은 경계면(fg)의 유선이다.

   2)널말뚝(acd)도 불투수층이므로 유선이다.

   3)투수층의 상류표면(ab), 하류표면(de)등수두선이다.

   4)선 ab와 de는 등수두선이므로 모든 유선은 이 선에 직교한다.

   5)선 acd, fg는 유선이므로 모든 등수두선은 이 선에 직교한다.

 

  (6)침투수량(전체유로의 단위폭당 침투수량)

   1)등방성 흙인 경우(K_h=K_z)

    (여기서, q: 침투유량, H: 전수두차(상, 하류 수면의 수두차, Nd: 등수두면의 수, Nf: 유로수)

   2)이방성 흙인 경우(Kh≠Kz)

 

 6.은 뛰어 넘고 여기서, 제 3장 3. 침투수 공부하고 올 것.

 

 7. 동상

  (1)동상현상(Frost heave)

   1)개요: 흙 속의 공극수가 얼어서 부피가 약 9% 팽창되기 때문에 지표면이 부풀어 오르는 현상을 동상현상이라 한다.

   2)조건

    ①동상을 받기 쉬운 흙(실트)이 존재해야 한다.

    ②물의 공급이 충분해야 한다.(아이스렌즈를 형성하기 위한 충분한 물의 공급)

    ③영하의 온도가 오래 지속되어야 한다.

   3)동결깊이

    ①토층의 동결은 보통 지표면에서 아래쪽으로 향하여 진행된다.

    ②동결심도(Frost depth): 지표면에서 동결선까지의 깊이를 말하며, 일본의 데레다 공식이 많이 이용된다.

     (여기서, Z: 동결심도(cm), F: 동결지수(℃ day), C: 지역에 따른 상수(3~5))

   4)동상의 대책

    ①배수구를 설치하여 지하수위를 저하시킨다.

    ②모관수 상승을 방지하기 위해 지하수위 위에 조립의 차단층을 설치한다.

    ③동결심도 상부의 흙을 동결하기 어려운 조립토로 치환한다.

    ④지표면 근처에 단열재료(석탄재, 코크스)를 넣는다.

    ⑤지표의 흙을 화학약품 처리(CaCl2, NaCl ,MgCl2 )하여 동결온도를 저하시킨다.

728x90

댓글

💲 추천 글