3. 압밀시험
(1)선행압밀하중(Preconsolidation pressure, Pc)
1)개요: 과거에 받았던 최대하중을 선행압밀하중이라 한다.
(2)작도법: Casagrande(1936)
1)간극비-하중(e-logP) 곡선에서 최대곡률점(최소곡률반지름)인 a점을 설정한다.
2)a점에서 수평선 ab를 그린다.
3)a점에서 접선 ac를 그린다.
4)각 bac를 이등분하여 선 ad를 그린다.
5)직선 gh의 연장선을 이어서 선 ad와 만나는 점을 f라 하면 점 f의 횡좌표의 값이 선행압밀하중이다.
(3)과압밀비(Over Consolidation Ratio, OCR)
과압밀비 |
흙의 상태 |
공학적 성질 |
OCR<1 |
압밀진행중 |
불안정 |
OCR=1 |
정규압밀 |
|
OCR>1 |
과압밀 |
안정 |
4. 압밀침하량 및 압밀시간
(1)압밀계수(Coefficient of consolidation, C_v)
: 각 하중단계마다 작성할 수 있는 시간-침하 곡선을 작도하여 t를 구한 후 압밀계수(C_v)를 계산한다.
1)log(t)법(Logarithm of time fitting method)-Casagrande & Fadum
(여기서, T50: 압밀도(U) 50%에 해당되는 시간계수(T50=0.197), t50: 압밀도 50%에 소요되는 압밀시간)
※암기법: 로오그 t법
※압기법: 오공(50%)화국 영(0)문이나 알고 쳐(197)!
2)root(t)법(Square root of time fitting method)-Taylor
(여기서, T90: 압밀도(U) 90%에 해당되는 시간계수(T90=0.848), t90: 압밀도 90%에 소요되는 압밀시간)
※암기법: 구트 t법
※암기법: 구공(90%)탄 파는 영팔(0.8)이는 사파리(48)다.
※시간계수 공식에서 압밀계수에 대한 식으로 변환
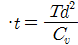
(2)압밀시간(t)
1)공식
(여기서, d: 배수거리)
(3)압밀침하량(델타H)
(여기서, H: 점토(압밀)층의 두께, p1: 초기 유효상재하중, p2=p1+델타p, 델타p: 하중증가량, C_c: 압축지수)
'토목기사 > 토질 및 기초' 카테고리의 다른 글
[토질 및 기초] 제 8장. 흙의 다짐(다짐의 효과)#2 (0) | 2019.10.04 |
---|---|
[토질 및 기초] 제 8장. 흙의 다짐(다짐이론)#1 (0) | 2019.10.03 |
[토질 및 기초] 제 4장. 흙의 압축성(압밀/압밀이론)#1 (0) | 2019.09.25 |
[토질 및 기초] 제 2장. 흙의 침투성과 침투(투수계수/비균질 토층의 평균투수계수/유선망(Flow net)/동상)#2 (0) | 2019.09.22 |
[토질 및 기초] 제 2장. 흙의 침투성과 침투(모관현상/Darcy의 법칙)#1 (1) | 2019.09.22 |
댓글