이번 포스팅에서는 옹벽에 대한 이야기를 해보려고합니다. 옹벽은 토압력에 저항하여 흙이 무너지지 않도록 만든 벽체입니다.
과년도 문제를 풀다보면 많은 문제들이 출제된 것을 볼 수 있는데, 토압계수를 구하는 방법을 기본으로 하여 여러가지 상황에서의 토압을 산출하고, 전도, 활동, 지지력에 대한 안전율을 구할 수 있어야 합니다. 자주 출제되니 시험장에 입장하기 전에 꼭 해당 공식들을 복습하고 입장합시다.
제 1장~ 6장까지는 공식도 많고, 그것들을 활용하여 계산하는 문제도 많이 출제되었는데 제 7장부터는 계산문제가 많이 줄어듭니다. 고생하셨고, 제 7장부터는 단순 암기가 대부분이니 살짝 긴장을 놓아도 되겠습니다.

옹벽(Retaining)
1. Rankine의 토압론
: Rankine(1856년)은 벽 마찰각을 무시하고 소성론에 입각하여 중력만이 작용하는 넓게 펼쳐진 지반이 소성 평형상태로 있을 때 지중응력을 구하였다.
(1)토압이론
- Rankine 토압: 벽 마찰각 무시(소성이론)
- Coulomb 토압: 벽 마찰각 고려(흙쐐기이론)
(2)Rankine 토압론의 기본가정
- 흙은 균일한 입자이고 비압축성이다.
- 지반은 소성평형상태이며, 중력만이 작용한다.
- 토압은 지표면에 작용하며 벽 마찰각은 무시한다.
- 흙 입자는 입자 간의 마찰력에 의해서만 평형을 유지하며 점착력은 없다.
- 지표면은 무한히 넓게 존재하며 지표에 하중이 작용하면 등분포하중이다.
(3)토압계수
| 주동토압계수 | ![]() |
| 수동토압계수 | ![]() |
주동, 수동토압계수는 암기하셔야 합니다. 주동토압보다는 수동토압이 무조건 큽니다. 왜냐하면 그림으로 생각했을때 옹벽이 흙쪽으로 이동하면 수동, 옹벽이 흙이 없는 쪽으로 이동하면 주동이라서 간단히 생각했을때도 수동토압이 커야 말이 됩니다. 수식으로는 분자가 +인지 분모가 -인지 좀 헤깔리는데, 수동과 주동 둘중에 무엇이 큰지 생각해 보면 암기하는데 도움이 됩니다.
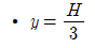
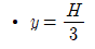
(4)토압의 일반식(i=0, c=0)

| ·주동토압(P_a) | ![]() |
| ·수동토압(P_p) | ![]() |
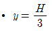
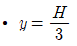
| ·합력의 작용점(y) | ![]() |
수동, 주동토압을 구하는 문제는 빈번히 출제됩니다. 무조건적인 암기도 좋지만, 그림처럼 응력분포도를 생각해보고 응력분포도의 삼각형 넓이를 구하면 토압 P_a가 나오니 한번 그렇게 암기해봅시다. 여기서 포인트는 응력분포도의 제일 밑의 제일 큰 응력을 생각하는 것입니다.
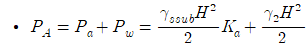
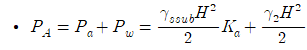
(5)지하수위가 있는 경우 토압(i=0, c=0)

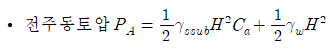
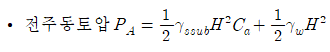
| ·전주동토압 | ![]() |
| ·수동토압 | ![]() |
| ·작용점 | ![]() |
그림에서 P_A는 오타입니다. P_a로 생각해야합니다. 항상 기본은 지하수위가 없는 경우를 기본으로 하고, 거기에 응용을 하셔야합니다. 물의 토압을 계산한다면 토압계수가 들어가는지 안들어가는지 헤깔리는데 물이니 흙이 아니라고 생각하여 토압계수가 안붙는다고 생각하고 있습니다.
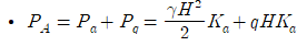
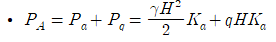
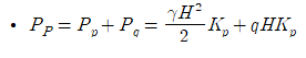
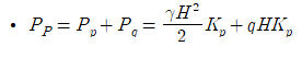
(6)상재하중이 있을 때의 토압

| ·주동토압 | ![]() |
| ·수동토압 | ![]() |
토압을 구하는 종류는 3가지 입니다. 기본형, 지하수위형, 토압형입니다. 기본형을 기본으로 암기하시고, 지하수위는 토압을 고려하지 않는 것이 포인트, 토압형은 응력분포에서 q가 일정하게 작용하여 qK_a가 작용합니다. 응력분포가 직사각형인것이 포인트입니다.
(7)지진에 의한 토압


여기서, P_AC: 지진 주동토압, Z: 합력의 위치
델타P_AC가 0.6H라는 것을 암기하시면 Z를 구하는 것은 문제가 없고, Z를 구하는 문제가 출제됩니다.
2. 점성토의 토압
위의 토압을 구하는 곳에는 c=0입니다. 지금 부터는 점착력이 0이 아닙니다. 쉽습니다. -가 되는 것만 다르고, 위에서 상재하중이 작용하는 것과 비슷한 이치입니다. c는 응력 단위라는 것을 기억하시면 응력분포도의 공식이 왜 저렇게 나오는지 암기하는데 도움이 됩니다.
(1)인장균열 발생 전 점성토의 토압(i=0, c≠0)


(2)인장균열 발생 후 점성토의 토압(i=0, c≠0)
①인장균열깊이(Z_c): 인장균열이 발생할 수 있는 깊이로서 점착고라고 한다.

②한계고(H_c): 지표면에서 어느 깊이까지는 점착력에 의하여 토압이 작용하지 않는 깊이로 흙막이 없이 굴착할 수 있는 깊이이다.
③주동토압(P_A)

3. 옹벽에 대한 안정
(1)옹벽의 안정조건

- 전도에 대한 안정: 전도에 대한 저항모멘트는 횡토압에 의한 전도모멘트의 2.0배 이상이어야 한다.
- 활동에 대한 안정: 활동에 대한 저항력은 옹벽에 작용하는 수평력의 1.5배 이상이어야 한다.
- 지반지지력에 대한 안정: 지반에 유발되는 최대지반반력은 지반의 허용지지력을 초과할 수 없다.
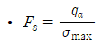
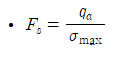
(2)중력식 옹벽에 대한 안정
: 콘크리트의 단위중량 gamma_c이고, 지반의 허용지지력 q_a일 때

| 전도에 대한 안정 | ![]() |
| 활동에 대한 안정 | ![]() |
| 지지력에 대한 안정 | ![]() |
옹벽의 안정조건에 3가지 종류가 있습니다. 4가지 모두의 안전율을 구하라는 문제는 자주 출제됩니다. 꼭 암기해야합니다.
4. 연직옹벽의 전주동토압
(1)옹벽배면에 배수구가 없는 경우


(2)옹벽배면에 경사지게 배수구 설치 시


배수구가 있는 경우 물에 의한 토압은 소거됩니다. 또한 부력을 받지 않아 gamma_sat으로 치환됩니다.
5. 보강토 공법(Reinforced earth method)
: 흙은 입자 상호간에 강하게 부착되어 있지 않아 다른 재료와는 달리 외력과 자중에 의하여 쉽게 파괴되는 약점을 보완하기 위하여 흙과 성질이 다른 재료를 매입하여 흙의 성질을 개량하는 공법이 보강도 공법이며, 보강토공법을 이용한 옹벽이 보강토 옹벽이다.
(1)보강토 옹벽의 기본 3요소
- 전면판(Skin plate): 뒤채움 흙의 유실을 방지하고 보강재에 연결시키며 구조물의 미화시키는 역할을 한다.
- 보강재(Strip bar): 뒤채움 흙의 토압에 의한 인장력을 부담하므로 마찰저항이 커야 한다.
- 뒤채움흙(Back fill): 흙과 보강재의 마찰을 크게 하며 배수성이 좋고 입도분포가 양호한 사질토가 유리하다.
'토목기사 > 지반공학' 카테고리의 다른 글
| [지반공학]제 7장 터널공(터널 굴착방법) #2 (0) | 2021.03.31 |
|---|---|
| [지반공학]제 7장 터널공(터널/숏크리트 및 록볼트) #1 (1) | 2021.03.30 |
| [지반공학]제 6장 흙막이공과 옹벽(어스앵커공법/지하연속벽 공법) #2 (2) | 2021.03.19 |
| [지반공학]제 6장 흙막이공과 옹벽(흙막이공법/히빙과 보일링 현상) #1 (0) | 2021.03.09 |
| [지반공학]제 5장 깊은기초(말뚝의 지지력) #3 (0) | 2021.03.07 |













댓글