제2장. 재료정역학
1. 조합 단면의 응력[병렬]

2. 자중을 고려한 응력과 변형량

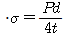
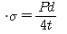
3. 열응력

4. 압력을 받는 얇은 용기
(1)원기둥

☞축방향으로 2배 강도로 용접해야함, 보통 후프로 계산
(2)구

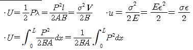
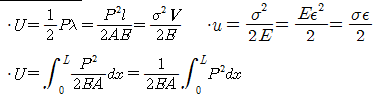
5. 탄성에너지
(1)축하중

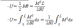
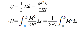
(2)모멘트

728x90
제2장. 재료정역학
1. 조합 단면의 응력[병렬]

2. 자중을 고려한 응력과 변형량

3. 열응력

4. 압력을 받는 얇은 용기
(1)원기둥

☞축방향으로 2배 강도로 용접해야함, 보통 후프로 계산
(2)구

5. 탄성에너지
(1)축하중

(2)모멘트

댓글