안녕하세요. 여러분, 미루고 미뤄왔던 가스기사에 대한 포스팅을 시작하려고 합니다. 이제 긴 호흡으로 주욱 달려볼 텐데요. 가스기사를 공부하며 수험서만 가지고는 부족함을 느꼈습니다. 그래서 수험서에 고법, 도법, 액법의 3가지 법령과 특히, KGS Code를 곁들이는 방법을 추천드립니다.
먼저, 가스기사 필기 5과목 중 '가스설비' 과목을 알아보겠는데요. '가스설비'는 실기시험에서도 그 출제 비중이 높아 60점만 넘는다는 생각은 지양하고, 가능한 최고 득점을 목표로 공부하는 것을 추천드립니다.
아울러 가스기사 시험 자체가 암기량이 아주 많은 시험이라 자주 보고 또 보고 해야하는데, 대중교통을 이용할 때 등 잠깐 잠깐 시간이 되실 때 가볍게 활용하기 좋은 포스팅으로 생각해주시면 감사하겠습니다. 꼭 암기해야 하는 부분과 제가 만든 암기법이나 재야에 떠돌고 있는 필살 암기법을 종종 넣을 예정이니, 합격하시는데 조금이나마 보탬이 되었으면 좋겠습니다. 자! 시작하겠습니다.

2. 고압가스 제조설비 일반
(1) 고압가스 제조 설비
- 오토클레이브(Auto Clave): 액체를 가열하면 온도와 증기압이 상승한다. 이때 액상을 유지하며 2종류 이상의 고압가스를 혼합하여 반응시키는 일종의 고압 반응가마를 일컫는다.(출제 포인트: 오토클레이브의 종류는 어떤 것이 있는지를 묻는 문제가 제출된다.)
- 교반형: 교반기에 의하여 내용물을 혼합하는 것으로 종형(입(立)형) 교반기와 횡형 교반기가 있다. 교반효과가 가장 우수하지만, 가스 누설의 가능성이 있고 온도와 압력이 높아질수록 누설의 가능성이 더 커진다.
- 진탕형: 횡형 오토클레이브 전체가 수평, 전후 운동을 하여 내용물을 혼합하는 것으로 이 형식을 일반적을 사용한다. 교반형의 가스 누설을 보완한 것으로 가스누설이 적거나 없으며, 촉매가 끼일 염려가 있다.
- 회전형: 반응기 전체가 회전하는 형태이다.
- 가스 교반형: 오토클레이브 기상부에서 반응가스를 취출하여 액상부 최저부에 순환 송입하는 방법과 원료 가스를 액상부에 송입하여 배출가스를 방출하는 방법이 있다. 대형의 화학공장에서 많이 사용된다.
출처: https://www.youtube.com/watch?v=o1OTjpi4qYw
- 암모니아 합성탑: 내압 용기와 내부 구조물로 되어 있으며 암모니아를 합성하기 위해 질소와 수소를 고온, 고압조건에서 반응시키는 반응기에 사용되는 장치이다. 암모니아 합성의 촉매는 주로 산화철에 Al2O3, K2O를 첨가한 것이나 CaO 또는 MgO 등을 첨가한 것도 있다. 압력에 따라 고압 합성법은 클라우드법, 카자레법, 저압은 켈로그법, 구데법이 있다. (출제 포인트: 고압법과 저압법을 구분하는 문제가 출제된다.)
(2) 고압 밸브 및 신축 이음장치
- 고압 밸브의 종류 (출제 포인트:각 밸브의 특징 및 종류를 묻는 문제가 출제된다.)
- 글로브 밸브(Glove Valve): 스톱 밸브(Stop Valve)라 하며 유량조절용으로 사용된다. 유체의 흐름방향과 평행하게 밸브가 개폐되고 유체의 흐름이 밸브 내에서 변경되므로 압력손실이 많이 발생한다.
- 슬루스 밸브(Sluice Valve): 게이트 밸브(Gate Valve)라 하며 유로의 개폐용에 사용된다. 밸브를 완전히 개방하면 배관 안지름과 같은 단면이 되므로 유체의 압력손실이 적으나 유량조절용으로 사용하면 와류현상이 생겨 유체의 저항이 커지고 밸브 디스크의 마모가 발생되므로 부적합하다.
- 체크밸브(Check Valve): 역류방지 밸브라 하며 유체를 한 방향으로만 흐르게 하고 역류를 방지하는 목적에 사용하는 것으로 스윙식과 리프트식이 있다.
- 볼 밸브(Ball Valve): 콕(Cock)이라 하며 핸들을 90˚ 회전시켜 유로를 급속히 개폐할 수 있으며, 유체의 저항이 적은 반면 기밀유지가 어렵다.
- 안전밸브(Safety Valve): 가스설비의 내부 압력 상승 시 파열사고를 방지할 목적으로 사용된다.
- 스프링식: 기상부에 설치하여 스프링의 힘보다 설비 내부의 압력이 클 때 밸브시트가 열려 내부의 압력을 배출하며 일반적으로 가장 많이 사용되는 형식이다.
- 파열판식: 얇은 평판 또는 돔 모양의 원판주위를 고정하여 용기나 설비에 설치하며,구조가 간단하고 취급·점검이 용이하다.
- 가용전식: 용기의 온도가 일정온도 이상이 되면 용전이 녹아 내부의 가스를 모두 배출하며 가용전의 재료는 구리, 주석, 납, 안티몬 등이 사용된다.
- 신축 이음장치(Expansion Joint): 온도변화에 따른 신축을 흡수·완화시켜 관이 파손되는 것을 방지하기 위하여 설치한다. (출제 포인트: 밸브의 종류를 묻는 문제가 출제된다.)
- 루프형(Loop Type): 곡관으로 만들어진 것으로 구조가 간단하고 내구성이 좋아 고온·고압 배관이나 옥외 배관에 주로 사용한다. 곡률 반지름은 관 지름의 6배 이상으로 한다.
- 슬리브형(Sleeve Type): 신축에 의한 자체 응력이 발생되지 않고 설치 장소가 필요하며 단식과 복식이 있다. 슬리브와 본체와의 사이에는 패킹을 다져 넣고 그랜드로 밀착시켜 온수 또는 증기의 누설을 방지한다. 슬라이드형(Slide Type) 조인트라 불려진다.
- 벨로스형(Bellows Type): 주름통으로 만들어진 것으로 설치 장소에 제한을 받지 않고 가스, 증기, 물 등에 사용된다. 팩리스(Packless)형이라 불려진다.
- 스위블형(Swivel Type): 2개 이상의 엘보를 사용하여 관의 신축을 흡수하는 것으로 신축량이 큰 배관에서는 누설의 우려가 크다.

(3) 저장탱크 및 충전용기
- 저장탱크의 종류
- 원통형 저장탱크: 동체와 경판으로 구성되며 설치 방법에 따라 수평형(횡형)과 수직형(종형)으로 구분된다. 원통형은 동일 용량, 동일 압력의 구형 탱크보다 철판 두께가 두꺼우며 수평형은 수직형보다 강도, 설치 및 안전성이 우수하다. 그러므로 수직형은 철판 두께를 두껍게 하여 바람, 지진 등에 의한 굽힘 모멘트에 견딜 수 있도록 하여야 한다.
- 구형 저장탱크: 횡형, 원통형 저장탱크에 비해 표면적이 작고, 강도가 높으며 외판 모양이 안정적이다. 기초가 간단하여 건설비가 적게 소요된다.
- 충전용기의 종류
- 이음매 없는 용기(무계목 용기, 심리스 용기): 주로 압축가스에 사용한다.
- 제조방법: 만네스식, 에르하트식, 딥드로잉식이 있다.(제조방법을 묻는 문제가 출제된다.)
- 특징: ① 고압에 견디기 쉬운 구조이다. ② 내압에 대한 응력 분포가 균일하다. ③ 제작비가 비싸다. ④ 두께가 균일하지 못할 수 있다.
- 용접용기(계목 용기, 웰딩용기, 심용기): 주로 액화가스에 사용한다.
- 특징: ① 제작비가 저렴하다. ② 두께가 균일하다. ③ 용기의 형태, 치수 선택이 자유롭다. ④ 고압에 견디기 어렵다.
- 초저온 용기: -50℃ 이하인 액화가스를 충전하기 위한 용기로서 단열재로 씌우거나 냉동설비로 냉각시키는 등의 방법으로 용기 내의 가스온도가 상용온도를 초과하지 아니하도록 한 것으로 18-8 스테인레스강, Al합금으로 제조된다.
- 이음매 없는 용기(무계목 용기, 심리스 용기): 주로 압축가스에 사용한다.
- 용기 밸브(충천구 형식 ABC형의 구분, 왼/오른나사의 구분에 대한 문제가 출제된다.)
- 충전구 형식에 의한 분류
- A형: 충전구가 수나사(나사산이 바깥에 있는 것 ex) 나사, 볼트)
- B형: 충전구가 암나사(나사산이 안쪽에 있는 것 ex) 너트, 탭)
- C형: 충전구에 나사가 없는 것
- 충전구 나사형식에 의한 분류
- 왼나사(시계방향으로 돌리면 풀리고, 반시계방향으로 돌리면 잠기는 특이한 나사) : 가연성 가스 용기(단, 액화암모니아, 액화브롬화메탄은 오른나사)
- 오른나사(시계방향으로 돌리면 잠기고, 반시계방향으로 돌리면 풀리는 일반적인 나사): 가연성 가스 외의 용기
- 충전구 형식에 의한 분류
- 충전용기 안전장치
- LPG 용기: 스프링식 안전밸브
- 염소, 아세틸렌, 산화에틸렌 용기: 가용전식 안전밸브
- 산소, 수소, 질소, 액화이산화탄소 용기: 파열판식 안전밸브
- 초저온 용기: 스프링식과 파열판식의 2중 안전밸브
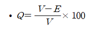
- 저장능력 산정식(★ ★ ★)
| 압축가스 | 액화가스 | |
| 용기 | ![]() |
|
| 탱크 | ||
| 비고 | 여기서, Q: 저장능력[㎥], P: 최고충전압력[MPa], V: 내용적[㎥] | 여기서, G: 질량[kg], V: 내용적[L], C: 상수, d: 액비중[kg/l] |
- 안전공간

728x90
'가스기사 > 가스설비' 카테고리의 다른 글
| 제8장 배관의 부식과 방식 (부식의 원리 및 종류) (0) | 2025.06.20 |
|---|---|
| 제7장 고압장치 (표면경화법/강의 5대 원소/용접 및 비파괴검사) (4) (0) | 2025.06.07 |
| 제7장 고압장치 (기본열처리/항온열처리) (3) (4) | 2025.05.19 |
| 제7장 고압장치 (철의 종류/철-탄소 평형상태도) (2) (2) | 2025.05.10 |
| 제7장 고압장치 (재료의 성질/강도 계산/고체의 결정구조) (1) (4) | 2025.04.19 |









댓글