가스기사/가스설비

제7장 고압장치 (재료의 성질/강도 계산/고체의 결정구조) (1)

카리R 2025. 4. 19.

안녕하세요. 여러분, 미루고 미뤄왔던 가스기사에 대한 포스팅을 시작하려고 합니다. 이제 긴 호흡으로 주욱 달려볼 텐데요. 가스기사를 공부하며 수험서만 가지고는 부족함을 느꼈습니다. 그래서 수험서에  고법, 도법, 액법의 3가지 법령과 특히, KGS Code를 곁들이는 방법을 추천드립니다.

 먼저, 가스기사 필기 5과목 중 '가스설비'  과목을 알아보겠는데요.  '가스설비'는 실기시험에서도 그 출제 비중이 높아 60점만 넘는다는 생각은 지양하고, 가능한 최고 득점을 목표로 공부하는 것을 추천드립니다.

 아울러 가스기사 시험 자체가 암기량이 아주 많은 시험이라 자주 보고 또 보고 해야하는데, 대중교통을 이용할 때 등 잠깐 잠깐 시간이 되실 때 가볍게 활용하기 좋은 포스팅으로 생각해주시면 감사하겠습니다. 꼭 암기해야 하는 부분 가 만든 암기법이나 재야에 떠돌고 있는 필살 암기법을 종종 넣을 예정이니, 합격하시는데 조금이나마 보탬이 되었으면 좋겠습니다. 자! 시작하겠습니다.

 

 

1. 고압설비의 개요

(1) 고압설비 재료의 성질

  • 기계적 성질: 재료가 외력에 의해 어떻게 반응하는가에 대한 성질
    • 강도(Strength, 변형에 대한 내성): 물체가 얼마나 강한가를 나타내는 척도로서 재료가 변형에 저항하는 정도를 나타냄. 다시 말해 강도가 높은 물질이라것은 쉽게 변형되지 않는다는 것을 의미하며, 인장강도, 전단강도, 압축강도 등이 있다.
    • 경도(Hardness, 긁힘에 대한 내성): 재료의 표면 특성으로써 국소부의 표면 변형(긁힘, 찍힘 등)의 저항정도를 말한다. 대표적으로 경도가 높은 것은 유리가 있으며, 낮은 것은 석고가 있다.
    • 탄성(Elasticity): 외부 하중이 가해졌다 제거되면 초기 형태로 복원되는 성질. 용수철을 생각해보자.
    • 소성(Plasticity): 재료가 외력에 의해 영구적으로 변형되는 특성을 말한다. 자유자재로 변형되어 고정되는 철사를 생각해보자.
    • 인성(Toughness): 재료가 파괴되기까지 받는 모든 에너지의 합으로 응력-변형률 선도에서 파단점까지 총 아래면적이 인성값이다. 아래 그림을 보면 이해가 빠르겠지만, 취성재료와 연성재료 모두 인성을 갖고, 인성이 큰 재료를 선택하는 것이 좋다.
    • 연성(Ductility): 물체가 가느다랗게 늘릴 수 있는 성질. 다시말해 재료의 파괴가 일어날 떄까지의 소성 변형을 일으키는 성질
    • 취성(Brittleness): 재료가 파괴될 때 변형이 거의 없이 급작스럽게 파괴되는 성질, 아래 그림 처럼 취성재료의 경우 변형율이 연성 재료에 비해 작다는 점을 알 수 있다.
    • 크리프(Creep): 재료가 시간과 온도의 영향에 의해 파손이 발생하는 현상, 고온에서 일정 하중을 걸어 오랜 시간 사용하면 동일한 응력이 작용함에도 불구하고 시간이 지남에 따라 변형률이 증가하는 현상, 여기서 고온은 재료의 녹는점의 1/3 이상의 온도를 말한다.
  • 물리적 성질: 비중, 용융점, 비열, 선팽창계수, 열전도율, 전기전도도(도전율), 금속과 합금의 색, 자성, 융해잠열 등
  • 화학적 성질: 내열성, 내식성 등
  • 제작상 성질: 주조성, 단조성, 용접성, 절삭성 등



(2) 강도 계산

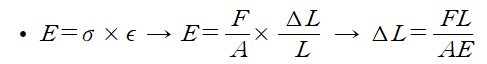
  • 응력(Stress): 재료에 하중을 가했을 때, 재료의 내부에서는 하중과 크기가 같은 반대방향의 내압이 발생하는데 이것을 응력이라 한다. 단위 면적당 작용하는 힘으로서 압력단위를 갖는다.

  • 변형률(Strain): 물체에 하중을 가하면 변형하며, 초기 길이에 대한 변형의 비율을 말한다. 가로 변형률(축방향)과 세로 변형률(축에 직각 방향)이 있다.

  • 인장시험: 시험편을 인장시험기의 양 끝에 고정시켜 시험편의 축방향으로 당겼을 때 시험편에 작용하는 하중과 그 하중으로 시험편이 변형된 크기를 측정하여 응력 변형률 선도에 재료의 항복점, 탄성한도, 인장강도, 연신율을 측정하는 것이다.
  • 응력-변형률 선도(Stress-Strain Diagram): 인장시험 시, 물체의 변형과 응력이 같이 증가하게 되는데, 이때 물체의 변형률을 수평축에 응력을 수직축에 나타낸 그래프를 말한다. 
    • 비례한도: 재료가 응력과 변형률이 선형 관계를 가지는 최대 지점을 말하며, 하중을 가하기 시작한 때부터 비례한도 까지는 후크의 법칙이 적용된다.
    • 레질리언스: 비례한도 내에서 재료가 단위 체적당 흡수할 수 있는 에너지로 응력-변형률 선도에서 비례한도 아래 삼각형 면적값이다. 같은 말로는 변형에너지밀도, 최대탄성에너지, 단위체적당 탄성에너지가 있다.
    • 탄성한도: 하중을 제거했을 때 물체가 원형으로 되돌아오는 최대 지점을 말하며, 비선형구간이 존재하기에 비례한도와 구분된다.
    • 항복점: 재료가 영구 변형을 시작하는 지점을 말하며, 상항복점과 하항복점이 있으며 상항복점은 일시적이므로 일반적으로 하항복점 값을 취한다.
    • 0.2% 항복 강도: 일반적으로 연강 이외의 금속재료들은 뚜렷한 항복점이 없다. 따라서 동, 알루미늄 등과 같은 재료들은 0.2%의 영구 변형률을 가지는 점을 항복점 대신으로 생각하는데 이것을 0.2% 오프셋 항복강도라고 한다.
    • 탄성영역: 응력과 변형률이 비례관계를 가지는 영역, 물체에 하중을 제거했을 때 물체가 원래의 모양으로 복원되는 영역
    • 소성영역: 물체에 하중을 제거하면 영구적으로 변형이 남는 영역
    • 변형도 경화영역: 응력과 변형률이 비선형적으로 증가하는 영역
    • 파괴영역: 변형률은 증가하지만 응력은 감소하며 넥킹현상에 의해 파단이 발생하는 영역
    • 파괴점: 시험편(재료)이 파단되는 지점을 말한다.(연성재료의 경우 파단면은 하중이 가해지는 방향과 45º의 파단면을 보통 가진다고 한다. 이 사실을 근거로 하면 연성재료에서는 전단이 파손의 주요 원인임을 알수 있다.)
    • 인장강도: 재료의 시험편이 견디는 최대하중을 말하며 하중을 시험편 평행부의 원단면적으로 나눈 값이다. 아래 그림에서는 극한강도를 말한다.

 

  • 허용응력과 안전율
    • 허용응력: 재료를 실제로 사용하여 안전하다고 생각되는 최대응력을 말한다.
    • 안전율: 재료의 인장강도와 허용응력과의 비를 말한다.

(3) 고체의 결정구조

들어가기에 앞서 용어정리는 아래 접은 글 클릭 ↓    

더보기
  • 고체: 고체 상태에서 입자들은 서로 가까이 있기 때문에 특별한 운동을 하지 않고, 오직 제자리에서 진동 운동만 합니다. 따라서 고체는 운동에 관심을 기울였던 기체와는 달리, 어떻게 배열되어 있느냐를 더 주목합니다.
  • 단위격자(=단위세포, Unit cell): 고체 안에서 분자 또는 원자들은 큰 인력에 의해 규칙적인 배열을 하고 있다. 따라서 고체 안에는 반복되는 단위가 있다. 비유를 들자면 화장실 바닥의 타일을 생각할 수 있는데, 여러 장의 타일들의 무늬가 계속 반복되는 것으로 볼수 있고, 이와 같이 계속 반복되는 가장 작은 단위를 단위격자라고 한다. 
  • 평방과 입방은 넓이와 부피를 말한다. 예를들어 '6㎡'는 '육 평방미터'라 부르고, '6㎥'는 '육 입방미터'라 부른다.
  • 입방체(=정육면체, 입방 단위격자): 고체를 이루는 단위격자 중 가장 간단한 것을 말하며, 단순입방격자, 체심입방격자, 면심입방격자로 나뉜다.
  • 고용체(Solid Solution): 고체의 경우를 보면 외부원자가 철에 침투했을 때 이것을 고용되었다라고 하며, 그 물질을 고용체라 합니다. 액체의 경우 물에 소금을 녹이면 소금물이 되는데, 이때 소금이 물에 '용해' 되었다고 한다. 
  • 용매: 고용체를 구성하는 두 성분 중 큰 원자를 말한다. (ex. 물, 철 등)
  • 용질: 고용체를 구성하는 두 성부 중 작은 원자를 말한다. (ex. 소금, 탄소 등)
  • 치환형 고용체: 용질원자가 용매원자를 치환하는 방식으로 그 자리를 바꿔 버리는 경우
  • 침입형 고용체: 용질원자가 용매원자들 사이사이의 빈자리를 채우는 경우, 철에 탄소를 침투시키는 방법을 '침탄법'이라 한다.(원자 반경이 작은 비금속원자들이 흔히 침입한다. Ex) 탄소)
  • 단위격자당 원자 수: 말 그대로 하나의 단위격자에 포함된 원자 수를 의미함
  • 체심입방격자(BCC, Body Centered Cubic): 입방체(=정육면체)의 각 꼭짓점에 1/8원자가 8개, 입방체의 중심에 1개의 원자가 배열된 결정구조이다. 원자가 점유하고 있는 비율(충진율)은 약 68%이고, 원자가 없는 빈공간은 32%로 FCC 구조에 비해 빈 공간이 많지만, 가운데 공간을 원자 1개가 온전히 차지하고 있어 탄소가 고용된 수 있는 공간이 없. BCC의 단위격자당 원자 수는 총 2개이다. 배위수(Coordination number, 그 원자 주위에 있는 최근접 원자의 수)는 8개(단위격자 정가운데의 원자를 기준으로 생각하면 각 모서리의 8개)이다.
    • BCC 내부 공간은 원자 지름의 20% 정도라고 합니다. 탄소 원자의 지름은 철 원자의 40%정도라  잘 고용되지 못합니다.
    • 금속: Li, Na, K, 베타-Fe, V, Cr, Mo, W, 알파-Fe, 델타-Fe, Nb, 베타-Zr
    • 강도가 크고 용융점이 높으나 전성, 연성이 떨어진다.

 

  • 면심입방격자(FCC, Face Centered Cubic): 입방체(정육면체)의 각 꼭짓점에 1/8 원자가 8개, 각 면의 중심에 1/2 원자가 6개 배열된 결정구조이다. 원자 충전율은 약 74%이고, 원자가 없는 빈 공간은 26%이다. FCC는 총4개의 원자로 되어 있으며, 26%의 중앙 빈 공간에는 탄소 원자가 들어갈 공간이 있다. 배위수는 12개(단위격자를 2개 이어 붙인다 생각하면 1/2원자가 하나의 원자가 되는데 이것을 중심으로 붙어있는 원자들을 생각, 1/8 원자가 4개, 1/2 원자가 각 단위격자 마다 4개) 이다.
    • FCC의 내부 공간은 원자 지름의 약 40% 정도이며 따라서 철 원자의 40% 정도의 크기를 가지고 있는 탄소원자가 잘 고용될 수 있다. 
    • 금속: Al, Sr, 감마-Fe, Ni, Cu, Pt, Au, Pb, Ag, Ca
    • 용융점이 낮고, 전연성이 좋다. 가공성이 우수하다.

  • 조밀육방격자(HCP): 별로 중요하지 않으니 설명은 생략한다. 있다는 것만 알아두자
728x90

댓글

💲 추천 글