안녕하세요. 여러분, 미루고 미뤄왔던 가스기사에 대한 포스팅을 시작하려고 합니다. 이제 긴 호흡으로 주욱 달려볼 텐데요. 가스기사를 공부하며 수험서만 가지고는 부족함을 느꼈습니다. 그래서 수험서에 고법, 도법, 액법의 3가지 법령과 특히, KGS Code를 곁들이는 방법을 추천드립니다.
먼저, 가스기사 필기 5과목 중 '가스설비' 과목을 알아보겠는데요. '가스설비'는 실기시험에서도 그 출제 비중이 높아 60점만 넘는다는 생각은 지양하고, 가능한 최고 득점을 목표로 공부하는 것을 추천드립니다.
아울러 가스기사 시험 자체가 암기량이 아주 많은 시험이라 자주 보고 또 보고 해야하는데, 대중교통을 이용할 때 등 잠깐 잠깐 시간이 되실 때 가볍게 활용하기 좋은 포스팅으로 생각해주시면 감사하겠습니다. 꼭 암기해야 하는 부분과 제가 만든 암기법이나 재야에 떠돌고 있는 필살 암기법을 종종 넣을 예정이니, 합격하시는데 조금이나마 보탬이 되었으면 좋겠습니다. 자! 시작하겠습니다.

1. 압축기(compressor)
(1) 압축기의 분류(필수암기 ★★)
- 작동압력에 따른 분류
- 팬(Fan): 압력상승이 10kPa 미만
- 블로어(Blower): 압력상승이 10kPa 이상, 0.1MPa 이하
- 압축기(Compressor): 압력상승이 0.1MPa 이상

- 작동원리에 의한 분류
- 용적형: 일정 용적의 실린더 내에 기체를 흡입하고, 기체에 압력을 가하여 토출구로 압출하는 것을 반복하는 형식이다.
- 왕복동식: 피스톤과 실린더로 이루어져 있으며, 피스톤의 왕복운동으로 가스를 압축한다. 쉽게 고압을 얻을 수 있어 압축효율이 좋고 저가이나, 피스톤이 직선 왕복운동을 하는 구조적인 문제로 속도의 한계가 있으며, 진동 및 맥동현상이 있고, 접촉면적이 많아 보수가 용이하기 않으며, 소음이 심하다는 단점이 있다.
- 회전식: 회전체의 회전에 의해 일정 용적의 가스를 연속으로 흡입·압축하는 것을 반복한다.
- 로터리 압축기: 외형적으로는 본체 옆 혹뿌리처럼 유분리기가 달린것이 특징이며, 실린더 내에는 회전 운동을 하는 편심회전자(rotor)가 기체를 압축한다. 진동이 작고, 소형 및 경량화가 가능하며 틈새가 없어 체적 효율 및 성능 계수가 양호하고 구조가 간단하다. 그러나 마모이 있을 경우, 성능이 크게 떨어지고 용량 제어가 어렵다는 단점이 있다.
- 스크류 압축기(나사식): 반대 방향으로 회전하는 두 개의 로터(보통 수 로터와 암 로터로 구성)로 구성된다. 로터는 압축기 케이싱 내부에 설치되고, 서로의 맞물림에 의해 압축하는 장치이다. 왕복동 압축기의 경우 회전운동을 직선 왕복운동으로 바꿔야 하기 때문에 복잡한 반면, 스크류의 경우 모터의 회전운동을 그대로 사용하기 때문에 여러가지 장점이 있다. 고속회전이 가능하기에 압축비를 높일수 있고, 설비 규모에 비해 대용량이 가능하다. 또한, 진동이 적고 소음이 적은 장점이 있다. 뿐만 아니라, 액압축에도 강한편이라 고장도 적은 편이고, 이 덕분에 압축기 시장의 70% 이상을 차지한다.
- 스크롤 압축기: 나선형 곡선으로 구성된 고정 스크롤과 이와 거의 비슷하게 생겨 선회하는 스크롤의 조합으로 이루어져있다. 이와 같은 양쪽 스크롤 사이에 형성된 압축 공간을 양쪽 스크롤이 동시에 감소시켜 흡입가스를 압축시킨다.
- 터보형: 임펠러의 회전운동으로 원심력에 의하여 압력과 속도에너지로 전환하여 압력을 상승시키는 형식이다.
- 원심식: 케이싱 내에 임펠러가 회전하면 기체가 원심력에 의하여 임펠러 중심부로 연속으로 흡입되고 압력과 속도가 증가되어 토출되는 형식이다.
- 축류식: 선풍기와 같이 프로펠러(임펠러)가 회전하면 기체가 축 방향으로 흡입되고, 압력과 속도가 상승되어 축 방향으로 토출하는 형식이다.
- 용적형: 일정 용적의 실린더 내에 기체를 흡입하고, 기체에 압력을 가하여 토출구로 압출하는 것을 반복하는 형식이다.

(2) 용적형 압축기의 종류 및 특징(필수암기 ★★)
- 왕복동식 압축기
- 특징
- 급유식, 무급유식이고 고압이 쉽게 형성된다.
- 용량 조정범위가 넓고, 압축효율이 높다.
- 형태가 크고 설치면적이 크다.
- 배출가스 중 오일이 혼입될 우려가 크다.
- 압축이 단속적이고, 맥동현상이 발생한다.
- 접촉부분이 많아 고장 발생이 쉽고, 수리가 어렵다.
- 반드시 흡입 토출 밸브가 필요하다.
- 특징
- 구조

- 피스톤 압출량 계산(마찰, 열발생 등의 이유로 실제 압출량은 이론 압출량보다 작을 수 밖에 없다. 그래서 같은 공식에 %단위인 체적효율이 실제적 피스톤 압출량에 붙는것이다.)
| 이론적 피스톤 압출량 | 실제적 피스톤 압출량 |
![]() |
![]() |
| 여기서, V: 이론적인 피스톤 압출량(m^3/h), V':실제적인 피스톤 압출량(m^3/h), D:피스톤의 지름(m), L: 행정거리(m), n: 기통수, N: 분당 회전수(rpm), eta_v: 체적효율 | |
- 압축기 효율(효율은 % 단위 이므로 분자가 분모보다 항상 작으며, 분모와 분자 각각이 무엇을 뜻하는지 생각하면서 압기하면 암기하기 수월해진다.)
| ① 체적효율(eta_v) |
![]() |
| ▶ 정압손실과 극간체적 등의 이유로 이론 압축량보다 실제 압축량이 작아지게 되며, 일반적으로 체적효율은 0.75~0.8정도이다. 20~25% 손실이 발생한다고 볼 수 있다. · 정압손실은 배관을 따라 가스가 이동하면서 배관과 유체와의 마찰에 의해 흡입시 압력이 감소하게 되고, 따라서 비체적이 증가하게 되는데, 그 만큼 실제 흡입량은 줄어들어 체적효율에 영향을 미친다. · 피스톤이 상사점에 도달했을 때 실린더 내부의 체적을 극간 체적이라고 하는데, 극간체적에서의 가스 압력상태는 매우 높은 상태일 것이다. 따라서, 이 압력이 가스를 흡입하는데 방해를 하게 됩니다. 이는 체적효율을 감소시키는 원인이 됩니다. |
|
| ② 압축효율 (eta_c) | ![]() |
| ▶ 압축효율이란 정압손실로 흡입압력이 저하되고, 그에 상응하여 토출압력이 낮아지게 되는데 이때, 토출압력은 기계의 설계압력보다 낮기에 설계압력 만큼 압력을 올려줘야 한다. 그에 따라 실제동력은 이론동력보다 커지게 되며 그 비율을 말한다. | |
| ③ 기계효율 (eta_m) | ![]() |
| ▶ 기계효율이란 압축기 부품들간의 마찰에 의한 에너지 손실을 고려한 효율을 말한다. · 지시동력: 운전 시 실제 계측기가 지시하는 동력을 예상한 것 · 축동력: 모터에서 팬으로 축을 통해 전달되는 동력 |
|
- 용량제어: 부하변동에 따라서 기기를 정지, 시동하는 것보다는 운전을 계속하면서 압축기의 능력을 변화시킬 수 있다면 압축기를 보호할 수 있어 기계의 수명을 연장할 수 있을 것이다, 이처럼 부하변동에 따른 기기의 능력을 제어하는 것을 용량제어라 한다.
- 연속적인 용량 제어법
- 흡입 주밸브를 폐쇄하는 방법
- 타임드 밸브 제어에 의한 방법
- 회전수 변경하는 방법
- 바이패스 밸브에 의한 방법
- 단계적인 용량 제어법
- 클리어런스 밸브에 의한 조정
- 흡입 밸브 개방에 의한 방법
- 연속적인 용량 제어법
- 압축비
| 1단 압축비 | 다단 압축비 |
![]() |
![]() |
| 여기서, a: 압축비, n: 단수, P_1: 흡입압력(절대압력 단위),P_2: 최종압력(절대압력 단위) | |
- 윤활유
- 구비조건
- 화학반응을 일으키지 않을 것
- 인화점은 높고, 응고점은 낮을 것
- 점도가 적당하고 항유화성이 클 것
- 불순물이 적을 것
- 잔류 탄소의 양이 적을 것
- 열에 대한 안정성이 있을 것
- 각종 가스 압축기의 윤활유
- 구비조건
| 압축기 종류 | 윤활유 종류 | 암기법 |
| 공기, 아세틸렌, 수소압축기 | 양질의 광유(디젤 엔진유) | 연예인 광수(공아수)는 꽝!이야 |
| LPG 압축기 | 식물성유 | 지(LPG) 식이 |
| 산소 압축기 | 물 또는 묽은 글리세린수(10% 정도) | |
| → 반대의 경우 빈출!: 산소 압축기의 내부 윤활제로 사용할 수 없는것: 석유류, 유지류, 글리세린 | ||
| 염소 압축기 | 진한 황산 | |
| 염화메탄(메틸 클로라이드) 압축기 | 화이트유 | |

- 회전식 압축기
- 용적형이며, 오일 윤활방식이다.
- 부품수가 적어 구조가 간단하고 동작이 단순하다.
- 압축이 연속으로 이루어져 맥동현상이 없다.
- 고진공과 고압축비를 얻을 수 있다.
- 나사(=스크류) 압축기
- 연속으로 압축되므로 맥동현상이 없다.
- 용량 조정이 어렵고(70~100%), 효율이 좋지 않다.
- 고속회전이므로 형태가 작고, 경량이며 설치면적이 작다.
- 토출압력 변화에 의한 용량변화가 적다.
(3) 터보형 압축기의 종류 및 특징
- 원심식 압축기
- 특징
- 원심형 무급유식다.
- 연속 토출로 맥동현상이 없다.
- 용량 조정범위가 좁고(70~100%) 어렵다.
- 운전 중 서징(Surging) 현상이 발생할 수 있다.
- 용량 제어방법
- 베인 컨트롤에 의한 방법
- 바이패스에 의한 방법
- 상사의 법칙
- 특징
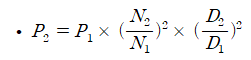
| 풍량 | ![]() |
| 풍압 | ![]() |
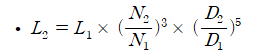
| 동력 | ![]() |
| 여기서, Q_1, Q_2: 변경전, 후 풍량, P_1, P_2: 변경 전, 후 풍압, L_1, L_2: 변경 전, 후 동력, D_1, D_2: 변경 전, 후 임펠러 지름, N_1, N_2: 변경 전, 후 임펠러 회전수 | |
- 서징(Surging)현상: 토출 측 저항이 커지면 유량이 감소하고 맥동과 진동이 발생하여 불안전운전이 되는 현상으로 방지법은 다음과 같다.
- 우상(右上)이 없는 특성으로 하는 방법
- 방출 밸브에 의한 방법
- 베인 컨트롤에 의한 방법
- 회전수를 변화시키는 방법
- 교축 밸브를 기계에 가까이 설치하는 방법
→ 서징현상, 우상현상 등은 펌프에서 자세히 다룰 예정!
- 축류 압축기
- 동익식의 경우 축동력을 일정하게 유지할 수 있다.
- 압축비가 작고, 효율이 높지 않다.
- 공기조화설비용으로 주로 사용한다.
728x90
'가스기사 > 가스설비' 카테고리의 다른 글
| 제6장 저온장치 (가스액화 사이클/가스액화분리장치) (0) | 2025.03.11 |
|---|---|
| 제5장 압축기 및 펌프(펌프) (2) (0) | 2025.03.02 |
| 제4장 도시가스 설비(도시가스 공급설비) (2) (0) | 2025.02.03 |
| 제4장 도시가스 설비(도시가스의 일반사항) (1) (0) | 2025.02.01 |
| 제3장 LPG(액화석유가스) 설비(LPG 사용설비) (2) (0) | 2025.01.21 |










댓글