안녕하세요. 여러분, 미루고 미뤄왔던 가스기사에 대한 포스팅을 시작하려고 합니다. 이제 긴 호흡으로 주욱 달려볼 텐데요. 가스기사를 공부하며 수험서만 가지고는 부족함을 느꼈습니다. 그래서 수험서에 고법, 도법, 액법의 3가지 법령과 KGS Code를 곁들이는 방법을 추천드립니다.
먼저, 가스기사 필기 5과목 중 '가스설비' 과목을 알아보겠는데요. '가스설비'는 실기시험에서도 그 출제 비중이 높아 60점만 넘는다는 생각은 지양하고, 가능한 최고 득점을 목표로 공부하는 것을 추천드립니다.(그래도 고득점은 힘들건데, 고득점일수록 실기통과 확률도 따라 올라갈겁니다.)
아울러 가스기사 시험 자체가 암기량이 아주 많은 시험이라 자주 보고 또 보고 해야하는데, 잠깐 잠깐 시간이 되실 때 가볍게 활용하기 좋은 포스팅을 해보는 것이 목표가 되겠습니다. 꼭 암기해야 하는 부분과 제가 만든 암기법이나 재야에 떠돌고 있는 필살 암기법을 종종 넣을 예정이니, 합격하시는데 조금이나마 보탬이 되었으면 좋겠습니다. 자! 시작하겠습니다.

4. LPG 사용설비
(1) LPG 충전용기
- 탄소강으로 제작하며 용접용기이다.
- 용기 재질은 사용 중 견딜 수 있는 연성, 전성, 강도가 있어야 한다.
- 내식성, 내마모성이 있어야 한다.
- 안전밸브는 스프링식으로 부착한다.
- 충전량 계산식
| 압축가스 | 액화가스 | |
| 용기 | ![]() |
|
| 탱크 | ||
| 단위 | Q: 저장능력[㎥], P: 최고충전압력[MPa], V: 내용적[㎥] | G: 질량[kg], V: 내용적[L], C: 상수, d: 액비중[kg/l] |
(2) 조정기(Regulator)
- 기능: 유출압력 조절로 안정된 연소를 도모하고, 소비가 중단되면 가스를 차단한다.
| 조정기 제품 사진 | 조정기의 구조 | 현장 사진 |
![]() |
![]() |
![]() |
- 조정기의 종류 및 특징
- 단단 감압식 조정기
- 2단 감압식 조정기: 1차 조정기와 2차 조정기를 사용하여 가스를 공급한다.
| 장점 (필수암기 ★★★) | 단점 |
| · 입상배관에 의한 압력 손실을 보정할 수 있다. · 가스 배관이 기러도 공급압력이 안정된다. · 각 연소기구에 알맞은 압력으로 공급이 가능하다. · 중간 배관의 지름이 작아도 된다. |
·설비가 복잡하고, 검사방법이 복잡하다. ·조정기 수가 많아서 점검 부분이 많다. ·부탄의 경우 재약화의 우려가 있다. · 시설의 압력이 높아서 이음방식에 주의하여야 한다. |
| ※ 2단 감압식 조정기의 장점은 실기에서도 나옵니다. 해당 내용은 토씨하나 틀리지 않고 외워봐요. | |
- 자동교체식 조정기(=자동절체식)
| 장점 (필수암기 ★★★) | 단점 |
| · 전체용기 수량이 수동교체식의 경우보다 적어도 된다. · 잔액이 거의 없어질 때까지 소비된다. · 용기 교환주기의 폭을 넓힐 수 있다. · 분리형을 사용하면 배관의 압력 손실을 크게 해도 된다. |
- |
| ※ 자동교체식 조정기의 장점은 실기에서도 나옵니다. 해당 내용은 토씨하나 틀리지 않고 외워봐요. | |
- 조정기의 성능: 조정압력 3.3kPa 이하인 조정기 (필수암기 ★★★)
| 입구 기밀압력 [MPa] |
출구 기밀압력 [MPa] |
입구 압력 [MPa] |
출구 압력 [kPa] |
안전밸브 작동 압력 [kPa] |
|
| 1단 감압식 저압 | 1.56 | 5.5 | 0.07~1.56 | 2.3~3.3 | 3.5 |
| 1단 감압식 준저압 | 1.56 | 조정압력 × 2 | 0.1~1.56 | 5~30 | 조정압력 × 1.25 |
| 자동 절체식 일체형 저압 | 1.8 | 5.5 | 0.1~1.56 | 2.55~3.3 | 3.5 |
| 자동 절체식 일체형 준저압 | 1.8 | 조정압력 × 2 | 0.1~1.56 | 5~30 | 조정압력 × 1.25 |
| 2단 감압식 1차용 | 1.8 | 150 | 0.1~1.56 | 57~83 | 95 |
| 2단 감압식 2차용 | 500 | 5.5 | 0.01~0.1 또는 0.025~0.1 |
2.3~3.3 | 3.5 |
| 자동 절체식 분리형 | 1.8 | 150 | 0.07~1.56 | 32~83 | 조정압력 ×1.25 |
| 그 밖 | 최대 입구 압력 × 1.1 | 조정압력 × 1.5 | 조정압력~1.56 | 제조자가 표시한 사양에 따르되 조정압력이 0..005MPa 초과인것에 한한다. | - |
| ※ 암기암기 필수암기!! 암기법은 따로 없고, 비슷한 숫자들끼리 블록으로 묶으면서 암기했다. | |||||
- 조정압력이 3.3kPa 이하인 경우 안전밸브 작동압력
- 작동표준 압력 7kPa
- 작동 개시압력: 5.6~8.4kPa (표준압력에서 ± 1.4kPa)
- 작동 정지압력: 5.04~8.4kPa
(3) 기화기(Vaporizer)
- 구성 3요소: 기화부, 제어부, 조작부
- 기화장치 구조: 히터가 부착된 물탱크 안에 물과 원형의 코일이 내장되어 있고, 그 가운데에 액차단 장치가 내장된 기화통이 있다. 물탱크는 단열재가 부착되어 있으며, 탱크 상판에는 액 및 가스용 입, 출구와 각조 계기류 및 안전밸브가 설치되어 있다. 히터에 전원공급과 각종 안전장치 제어용 전기 콘트롤박스가 물탱크 외부에 부착되어 있고, 전기 콘트롤박스 내부와 히터박스 내부에는 전선 연결용 단자대가 부착되어 있다.

- 작동원리: INLET을 통해 유입된 액은 열교환용 코일을 통과하면서 히터에 의해 가열된 온수와 열 교환이 이루어지면서 기화된다. 기화된 가스는 기화통과 Gas Outlet을 통해 사용자측으로 공급된다. 물은 자동온도조절기에 의해 60~75℃를 유지하면서 액체를 지속적으로 기화시킨다. 기화양보다 사용양이 많은 경우 또는 어떤 원인에 의해 LPG 액이 기홭오 내부의 Float Ball을 상부로 밀어 올려 출구포트를 닫게되어 액유출이 방지된다. 액의 이상 압력은 안전밸브를 통해 배출시키고, 물 레벨이 적정 수위보다 낮은 경우 물레벨스위치에 의해 히터에 전원공급이 차단된다.
- 기화기 사용 시 장점
- 한랭 시에도 연속적으로 가스공급이 가능하다.
- 공급가스의 조성이 일정하다.
- 설치면적이 적어진다.
- 기화량을 가감할 수 있다.
- 설비비 및 인건비가 절약된다.
(4) 배관설비
- 가스 배관의 종류
- 강관
- 스케줄 번호(schedule number): 사용압력과 배관재료의 허용응력과의 비에 의하여 배관 두꼐의 체계를 표시한 것이다.
- 강관


- 강관의 종류 및 특징
| 종류 | 규격기호 | 용도 및 특징 |
| 배관용 탄소강관 | SPP | 사용압력이 비교적 낮은(1MPa 이하) 증기, 물, 기름, 가스 및 공기의 배관용으로 사용되며 흑관과 백관이 있다. 호칭 6~500A |
| 압력배관용 탄소강관 | SPPS | 350℃ 이하의 온도에서 압력 1~10MPa 까지의 배관에 사용한다. 호칭은 호칭지금과 두계(스케줄 번호)에 의한다. 호칭 6~500A |
| 고압배관용 탄소강관 | SPPH | 350℃ 이하의 온도에서 압력 10MPa 이상의 배관에 사용한다. 호칭은 SPPS관과 동일하다. 호칭 6~500A |
| 고온배관용 탄소강관 | SPHT | 350℃ 이상의 온도에서 사용하는 배관용이다. 호칭은 SPPS관과 동일하다. 호칭 6~500A |
| 저온배관용 탄소강관 | SPLT | 빙점 이하의 저온도 배관에 사용한다. 두께는 스케줄 번호에 의한다. 호칭 6~500A |
| 배관용 아크용접 탄소강관 | SPW | 사용압력 1MPa 이하의 비교적 낮은 증기, 물, 기름, 가스, 및 공기 등의 배관용이다. 호칭 350~1500A |
| 배관용 합금강관 | SPA | 주로 고온도의 배관에 사용한다. 두꼐는 스케줄 번호에 의한다. |
| 배관용 스테인리스강관 | STS × T | 내식용, 내열용 및고온배관용, 저온배관용에 사용한다. 두께는 스케줄 번호에 의한다. 호칭 6~300A |
| 연료가스 배관용 탄소강관 | SPPG | SPP관보다 기계적 성질을 향상시킨 재료로 주로 연료가스 사용시설의 내관에 사용한다. |
2. 가스용 폴리에틸렌관(PE관: polyethylene pipe): 에틸렌을 중합시킨 열가소성 수지로 가열하면 경화가 되며, 더욱 가열하면 녹아 유동성을 갖는다.
- 가스용 PE관 설치기준
- 관은 매몰하여 시공한다.
- 관의 굴곡 허용반지름: 바깥지름의 20배 이상으로 한다.
- 탐지형 보호포, 로케이팅 와이어(단면적 6㎟ 이상) 설치
| 탐지형 보호포 | 로케이팅 와이어 | |
| 그림 | ![]() ![]() |
![]() |
| 용도 | 굴착 작업시 배관 등의 손상사고를 미연에 방지하고자 매설물의 위치를 인지할 수 있도록 매설물의 상부에 포설하는 | PE관의 경우 강관과 달리 지면에서 자기장측정에 의해 위치를 찾을 수 없습니다. 그래서 PE관 둘레를 로케팅 와이어로 감아 지면으로 올려 가스 배관의 위치를 찾아내는데 사용합니다. |
- 허용압력 범위 (필수암기 ★★★)
| 호칭 | SDR | 허용압력 |
| 1호관 | 11이하 | 0.4MPa |
| 2호관 | 17이하 | 0.25MPa |
| 3호관 | 21이하 | 0.2MPa |
![]() |
||
- 이음방법: 융착(용융+압착)이음을 한다.
| 맞대기 융착 | 소켓 융착 | 새들 융착 | |
| 그림 | ![]() |
![]() |
![]() |
| 설명 | 관을 직접 맞대어 융착이음 한다. | 관을 소켓에 끼워 넣어 융착이음한다. | 가스용 폴리에틸렌관 중간에서 분기할 때 사용하는 이음방법이다. |
3. 폴리에틸렌 피복강관(PLP관): 연료가스 배관용 탄소강관(SPPG) 외면에 폴리에틸렌을 코팅하여 부식에 견딜 수 있게 한 것으로 매설배관재로 사용한다.
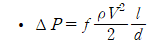
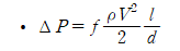
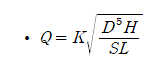
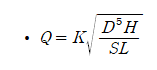
- 배관 내의 압력손실
- 마찰에 의한 압력손실 (필수암기 ★★★)
- 유속의 2승에 비례한다.(유속이 2배이면 압력손실은 4배이다.) - 달시-바이스바하의 식
- 관의 길이에 비례한다.(길이가 2배이면 압력손실은 2배이다.) - 달시-바이스바하의 식
- 관 안지름의 5승에 반비례한다.(지름이 1/2로 작아지면 압력손실은 32배이다.) - 가스 유량 공식
- 관 내벽의 상태와 관계있다. (내면의 상태가 거칠면 압력손실이 커진다.) - 달시-바이스바하의 식
- 유체의 점도와 관계있다. (유체의 점도가 커지면 압력손실이 커진다.) - 달시-바이스바하의 식
- 압력과는 관계가 없다. - 달시-바이스바하의 식
- 마찰에 의한 압력손실 (필수암기 ★★★)
| 달시-바이스바하의 식 | (저압) 가스 유량 공식 | (고압) 가스 유량 공식 |
![]() |
![]() |
|
![]() |
![]() |
![]() |
- 입상배관에 의한 압력손실 (필수암기 ★★★)

(5) 연소기구
- 연소방식의 분류 (필수암기 ★★★)
- 전 1차 공기식: 연소용 공기를 송풍기로 압입하여 가스와 강제 혼합하여 필요한 공기를 모두 1차 공기로 하여 연소하는 방식이다. 공업용 로 등에 사용된다.
- 분젠식: 가스를 노즐로부터 분출시켜 주위의 공기를 1차 공기로 흡입하는 방식으로 연소속도가 빠르고, 선화현상 및 소화음, 연소음이 발생한다. 일반가스기구에 사용된다.
- 세미분젠식: 적화식과 분젠식의 혼합형으로 1차 공기량을 40% 이하 취하는 방식으로 역화의 위험이 적다.
- 적화식: 연소에 필요한 공기를 2차 공기로 취하는 방식으로 역화와 소화음, 연소음이 없다. 공기조절이 불필요하며, 가스압이 낮은 곳에서도 사용할 수 있다. 순간 온수기, 파일럿 버너 등에 사용된다.
- 노즐에서 가스 분출량계산
![]() |
![]() |
- 연소 기구에서 발생하는 이상현상
- 역화: 가스의 연소속도가 염공에서의 가스 유출속도보다 크게 됐을 때 불꽃은 염공에서 버너 내부에 침입하여 노즐의 선단에서 연소하는 현상으로 원인은 다음과 같다.
- 염공이 크게 되었을 때
- 노즐의 구멍이 너무 크개 된 경우
- 콕이 충분히 개방되지 않은 경우
- 가스의 공급압력이 저하되었을 때
- 버너가 과열된 경우
- 선화: 염공에서의 가스의 유출속도가 연소속도보다 커서 염공에 접하여 연소하지 않고 염공을 떠나 공간에서 연소하는 현상으로 원인은 다음과 같다.
- 염공이 작아졌을 때
- 공급압력이 지나치게 높을 경우
- 배기 또는 환기가 불충분할 때(2차 공기량 부족)
- 공기 조절장치를 지나치게 개방하였을 때(1차 공기량 과다)
- 블로 오프(blow off): 불꽃 주변 기류에 의하여 불꽃이 염공에서 떨어져 연소하는 현상
- 옐로 팁(Yellow tip): 불꽃의 끝이 적황색으로 되어 연소하는 현상으로 연소반응이 충분한 속도로 진행되지 않을 때, 1차 공기량이 부족하여 불완전연소가 될 때 발생한다.
- 불완전연소의 원인
- 공기 공급량 부족
- 배기 불충분
- 환기 불충분
- 가스 조성의 불량
- 연소기구의 부적합
- 프레임의 냉각
- 역화: 가스의 연소속도가 염공에서의 가스 유출속도보다 크게 됐을 때 불꽃은 염공에서 버너 내부에 침입하여 노즐의 선단에서 연소하는 현상으로 원인은 다음과 같다.
'가스기사 > 가스설비' 카테고리의 다른 글
| 제4장 도시가스 설비(도시가스 공급설비) (2) (0) | 2025.02.03 |
|---|---|
| 제4장 도시가스 설비(도시가스의 일반사항) (1) (0) | 2025.02.01 |
| 제3장 LPG(액화석유가스) 설비(LPG의 일반사항/LPG 충전설비/LPG 저장 및 공급설비/LPG 사용설비) (1) (0) | 2025.01.20 |
| 제2장 고압가스의 제조 및 용도(수소/산소/질소) (0) | 2025.01.12 |
| 제1장 기체의 성질(열량/열용량과 비열/현열과 잠열/열에너지/열역학 법칙) (2) | 2025.01.04 |
























댓글