이번 포스팅에서는 지반조사에 대한 이야기를 해보려고합니다.
지반조사는 지반을 구성하는 지층이나 토층의 층서, 지하수의 상태, 각층의 토질 등을 밝혀 구조물의 설계 · 시공의 기초적인 자료를 구하는 조사를 말합니다.
제 1장 지반조사에 대한 포스팅은 3개의 파트로 나누어 올릴 예정인데요. 과년도에서 유기질토의 특성이나 교란시료인지 불교란 시료인지 판단하는 문제가 출제된 적이 있습니다.
제 1장~6장까지는 계산문제가 많이 출제되고 있는데 7장부터는 암기위주의 내용이 나오니 조금만 더 화이팅합시다.

| 이 글을 보고 계시다면, 토목기사 필기시험에 합격하셨거나, 합격을 예상하신 분들이라고 생각합니다. 대단히 축하드리고, 앞으로 제가 포스팅 할 내용은 저도 전문가가 아니며 틀릴 수 있다는 것을 명심해주시면 감사하겠습니다. 또한 이 글을 쓰는 목적은 제가 제 스스로 요점정리를 하고, 짬나는 시간에 휴대폰으로도 쉽게 공부를 할 수 있도록 순전히 저를 위한 글입니다. |
지반조사
1. 지구물리학적 조사
(1)복잡한 물리탐사법
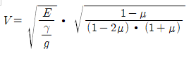
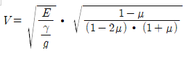
①크로스 홀 탄성파탐사법(지진탐사법, Cross hole seismin survey): 수평길이 L의 간격으로 땅속에 굴착된 두 개의 홀에 어느 하나의 시추공의 바닥에서 충격 막대에 의해 연직 충격을 발생시켜 연직으로 민감한 트랜스 듀서에 의해 전단파를 기록할 수 있는 지구물리학적인 지반조사 방법
(2)기초지반의 물리적 탐사
: 기초지반의 물리적 탐사는 지반의 물리적 성질의 차이를 측정·비교하여 지반을 분류하여 지하 지질구조를 알고자 하는 물리적 탐사법은 다음과 같다.
- 방사능 탐사법: 단층, 파쇄대 부분에서 자연 방사능이 강하게 나타나는 것을 이용하는 방법
- 탄성파 탐사법: 지반의 탄성적성질과 탄성파의 전파속도는 자질의 종류 및 풍화의 정도에 따라 다르므로 이를 이용해서 지층구조를 탐사하는 방법이다.

- 중력 탐사법: 지표에서 측정한 중력의 값을 이용하여 지하의 밀도분포를 추정하여 탐사하는 방법
- 전기 탐사법: 지반의 토질과 공극의 다소, 함수상태에 따라서 전기저항이 다르게 나타나는 것을 이용하는 방법
- 자기 탐사법: 광물이나 암석이 자계 속에서 자화되는 성질을 이용하여 탐사하는 방법
| 과년도를 풀면서 여기서 나온 문제는 보지 못했습니다. |
2. 기초지반흙의 공학적 특성
(1)유기질토(Organic Soil)
- 압축성이 크다.
- 자연함수비는 200~300%이다.
- 2차 압밀에 의한 입밀침하량이 크다.
| 가끔 유기질토의 특징에 대해 설명하라고 하는 문제를 본적이 있습니다. 어려운 내용이 아니니 암기하시면 좋을 것 같습니다. 여기서, 2차 압밀이란 토립자의 파괴에 의한 압축을 말합니다. |
3. 팽창성 지반
: 팽창성 지반에 기초를 건설할 때 공사방법으로 흙을 치환하는 것과 팽창성 흙의 성질을 변화시키는 것, 두 가지 방법을 생각할 수 있다.
(1)팽창성 흙의 성질변화 방법
- 다짐방법
- 살수방법(침수법: prewetting)
- 차수벽 설치(수분 흡수방지벽 공법)
- 흙의 안정처리(지반의 안정처리)
4. 시료채취
(1)보링의 종류
- 오거식 보링(Auger boring): 현장에서 간단하게 인력으로 교란된 시료를 채취하는 데 적합하다.
- 회전식 보링(Rotary boring): 시간과 공사비가 충격식보다 많이 들지만 확실한 코어를 얻을 수 있다.(불교란 시료 채취 가능)
- 충격식 보링(Percussion boring): 굴진속도가 빠르고 비용도 저렴하다.
- 수세식 보링(Wash boring): 경량비트의 회전 및 시추수의 분사로 굴진하며 슬라임은 순환수로 배제한다.
(2)시료채취 방법
- 스플릿 스푼 샘플러(Split spoon sampler)에 의한 방법-표준관입시험
- Scraper bucket sampler
- 얇은 관에 의한 시료채취(thin wall tube sampler)방법
- 피스톤 샘플러(Piston sampler) 방법
(3)시료 교란의 판단
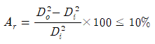
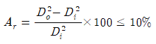
1)면적비(Area ratio)


·A_r>10%이면 샘플러(Sampler) 내부에 여잉토의 혼입으로 교란된 시료로 간주한다.
| A_r이 10% 이상이든지 이하이든지 어떻게 되면 교란된 것인가에 대해서 암기가 상당히 힘듭니다. 단순암기의 경우 앞 글자만 따서 외우는 방법이 통하지 않습니다. 저는 이럴경우 식에대해서 한번 생각해 봅니다. D_o가 D_i 보다 많이 큰 경우의 셈플러를 머릿속으로 생각하고 그것이 교란된 것이라고 생각합니다. |
'토목기사 > 지반공학' 카테고리의 다른 글
| [지반공학]제 2장 연약지반(지하수위 저하공법/토목섬유)#3 (0) | 2021.02.19 |
|---|---|
| [지반공학]제 2장 연약지반(점성토지반 개량방법/사질토지반 개량공법/주입 및 고결공법)#2 (0) | 2021.02.18 |
| [지반공학]제 2장 연약지반(연약지반/Vertical drain 공법)#1 (0) | 2021.02.17 |
| [지반공학]제 1장 지반조사(토질조사)#3 (0) | 2021.02.16 |
| [지반공학]제 1장 지반조사(암반조사)#2 (0) | 2021.02.15 |
댓글